Η αγωνία τελείωσε για χιλιάδες υποψήφιους που έμαθαν τις βάσεις εισαγωγής στα τμήματα των ΑΕΙ και ΤΕΙ.
Στις 10 η ώρα ο υπουργός Παιδείας, Έρευνας και Θρησκευμάτων Νίκος Φϊλης σε συνέντευξη τύπου ανακοίνωσε τα αποτελέσματα της εισαγωγής στην Τριτοβάθμια Εκπαίδευση.
Παρακάτω το alfavita δημοσιεύει στο παρακάτω xls όλες τις βάσεις εισαγωγής. Πατήστε κλικ για να σας ανοίξει το αρχείο
- ΔΕΙΤΕ ΕΔΩ ΒΑΣΕΙΣ_ΕΠΙΛΟΓΗ 10% ΓΕΛ,ΕΠΑΛΒ 2015_ΠΑΝΕΛ.2016
-ΔΕΙΤΕ ΕΔΩ ΒΑΣΕΙΣ_ΕΠΙΛΟΓΗ 10% ΕΠΑΛΑ 2014_ΠΑΝΕΛ.2016.xls
- ΔΕΙΤΕ ΕΔΩ ΒΑΣΕΙΣ_ΕΠΙΛΟΓΗ 10% ΕΠΑΛΑ 2015_ΠΑΝΕΛ.2016.xls
- ΔΕΙΤΕ ΕΔΩ ΒΑΣΕΙΣ_ΕΠΙΛΟΓΗ 10% ΓΕΛ,ΕΠΑΛΒ 2014_ΠΑΝΕΛ.2016.xls
- ΔΕΙΤΕ ΕΔΩ ΤΙΣ ΒΑΣΕΙΣ_ΕΠΙΛΟΓΗ ΓΕΛ,ΕΠΑΛΒ ΠΑΛΑΙΟ-ΕΣΠΕΡΙΝΑ_ΠΑΝΕΛ.2016.xls
- ΔΕΙΤΕ ΕΔΩ ΤΙΣ ΒΑΣΕΙΣ_ΕΠΙΛΟΓΗ ΓΕΛ,ΕΠΑΛΒ ΠΑΛΑΙΟ-ΗΜΕΡΗΣΙΑ_ΠΑΝΕΛ.2016.xls
Σχετικά με τα αποτελέσματα εισαγωγής των επιτυχόντων στην Τριτοβάθμια Εκπαίδευση
Από το Υπουργείο Παιδείας, Έρευνας και Θρησκευμάτων, ανακοινώνεται ότι ολοκληρώθηκαν οι διαδικασίες επιλογής των εισαγομένων στην Τριτοβάθμια Εκπαίδευση.
Α. Φέτος οι υποψήφιοι διεκδίκησαν την εισαγωγή τους στις Σχολές και τα Τμήματα της Τριτοβάθμιας Εκπαίδευσης μέσω των διαδικασιών των Πανελλαδικών Εξετάσεων με το Νέο Σύστημα αλλά και με το Παλαιό Σύστημα εισαγωγής.
I. Οι διαδικασίες επιλογής στην Τριτοβάθμια Εκπαίδευση με το Νέο Σύστημα αφορούν αποφοίτους:
i) ημερήσιου Γενικού Λυκείου, για τα τμήματα και τις Σχολές των Πανεπιστημίων, των Ανώτατων Εκκλησιαστικών Ακαδημιών, των ΤΕΙ, της ΑΣΠΑΙΤΕ, τις Ανώτερες Σχολές Τουριστικής Εκπαίδευσης, τις Στρατιωτικές και Αστυνομικές Σχολές, τις Σχολές των Ακαδημιών της Πυροσβεστικής και του Εμπορικού Ναυτικού.
ii) ημερήσιου ΕΠΑΛ, για τα ΤΕΙ, την ΑΣΠΑΙΤΕ, τις Ανώτερες Σχολές Τουριστικής Εκπαίδευσης, τις Ανώτερες Στρατιωτικές Σχολές Υπαξιωματικών, τις Σχολές Αστυφυλάκων και τις Σχολές της Ακαδημίας Εμπορικού Ναυτικού.
iii) εσπερινού Γενικού Λυκείου, για τα Πανεπιστήμια, τις Ανώτατες Εκκλησιαστικές Ακαδημίες, τα ΤΕΙ, την ΑΣΠΑΙΤΕ, τις Ανώτερες Σχολές Τουριστικής Εκπαίδευσης και τις Σχολές της Ακαδημίας Εμπορικού Ναυτικού.
II. Επίσης, οι διαδικασίες επιλογής στην Τριτοβάθμια Εκπαίδευση με το Παλαιό Σύστημα αφορούν αποφοίτους:
i) ημερήσιου Γενικού Λυκείου και ημερήσιου ΕΠΑΛ-ΟΜΑΔΑ Β΄ (συμμετεχόντων στις Εξετάσεις αλλά και με τη διαδικασία του 10%), για τα Τμήματα και τις Σχολές των Πανεπιστημίων, των Ανώτατων Εκκλησιαστικών Ακαδημιών, των ΤΕΙ, της ΑΣΠΑΙΤΕ, τις Ανώτερες Σχολές Τουριστικής Εκπαίδευσης, τις Στρατιωτικές και Αστυνομικές Σχολές, τις Σχολές των Ακαδημιών της Πυροσβεστικής και του Εμπορικού Ναυτικού.
ii) ημερήσιου ΕΠΑΛ-ΟΜΑΔΑ Α΄ (συμμετεχόντων στις Εξετάσεις αλλά και με τη διαδικασία του 10%), για τα ΤΕΙ, την ΑΣΠΑΙΤΕ, τις Ανώτερες Σχολές Τουριστικής Εκπαίδευσης, τις Ανώτερες Στρατιωτικές Σχολές Υπαξιωματικών, τις Σχολές Αστυφυλάκων και τις σχολές της Ακαδημίας Εμπορικού Ναυτικού.
iii) εσπερινού Γενικού Λυκείου και εσπερινού ΕΠΑΛ-ΟΜΑΔΑ Β΄, για τα Πανεπιστήμια, τις Ανώτατες Εκκλησιαστικές Ακαδημίες, τα ΤΕΙ, την ΑΣΠΑΙΤΕ, τις Ανώτερες Σχολές Τουριστικής Εκπαίδευσης και τις Σχολές της Ακαδημίας Εμπορικού Ναυτικού.
iv) εσπερινού ΕΠΑΛ-ΟΜΑΔΑ Α΄, για τα ΤΕΙ, την ΑΣΠΑΙΤΕ, τις Ανώτερες Σχολές Τουριστικής Εκπαίδευσης, και τις σχολές της Ακαδημίας Εμπορικού Ναυτικού.
Σήμερα δίδονται στη δημοσιότητα η βαθμολογία του πρώτου και του τελευταίου εισαγόμενου στο κάθε Τμήμα ή Σχολή για την κάθε κατηγορία, ενώ στέλνονται ηλεκτρονικά στις Διευθύνσεις Δευτεροβάθμιας Εκπαίδευσης της χώρας καταστάσεις επιτυχόντων κάθε κατηγορίας, προκειμένου να τις προωθήσουν στα Λύκεια αρμοδιότητάς τους και να αναρτηθούν σε αυτά εντός της ημέρας.
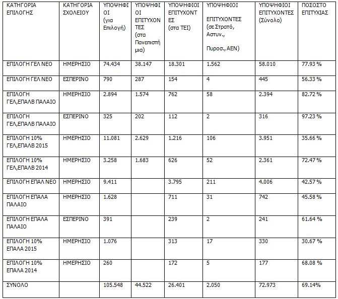
O συνολικός αριθμός των υποψηφίων για επιλογή φέτος ανήλθε σε 105.548 (75.224 με το Νέο ΓΕΛ, 3.219 με το Παλαιό ΓΕΛ/ΕΠΑΛ-ΟΜΑΔΑ Β’, 14.339 με το 10% του ΓΕΛ/ΕΠΑΛ-ΟΜΑΔΑ Β’, 9.411 με το Νέο ΕΠΑΛ, 2.019 με το Παλαιό ΕΠΑΛ-ΟΜΑΔΑ Α’ και 1.336 με το 10% του ΕΠΑΛ-ΟΜΑΔΑ Α’), ενώ πέρυσι ο αντίστοιχος αριθμός υποψηφίων ήταν 104.616.
Συνολικά εισήχθησαν στα Πανεπιστήμια, στις Ανώτατες Εκκλησιαστικές Ακαδημίες, στα ΤΕΙ, στις Στρατιωτικές και Αστυνομικές Σχολές και στις Ακαδημίες της Πυροσβεστικής και του Εμπορικού Ναυτικού 72.973 υποψήφιοι, ενώ το 2015 εισήχθησαν 70.988.
Τα αναλυτικά στοιχεία υποψηφίων και επιτυχόντων έχουν ως εξής :
ΣΤΑΤΙΣΤΙΚΑ ΣΤΟΙΧΕΙΑ ΥΠΟΨΗΦΙΩΝ – ΕΠΙΤΥΧΟΝΤΩΝ ΣΤΗΝ ΤΡΙΤΟΒΑΘΜΙΑ ΕΚΠΑΙΔΕΥΣΗ ΚΑΤΑ ΚΑΤΗΓΟΡΙΑ ΥΠΟΨΗΦΙΩΝ ΤΟ ΑΚΑΔ. ΕΤΟΣ 2016-2017

Τα δικαιολογητικά και η διαδικασία εγγραφής θα ανακοινωθούν κατά τις προσεχείς ημέρες με νεότερο Δελτίο Τύπου και αναλυτική εγκύκλιο.
Επισημαίνεται ότι όλοι οι επιτυχόντες στα Τ.Ε.Ι. εισάγονται στο Α΄ εξάμηνο.
Η προθεσμία και η διαδικασία εγγραφής των επιτυχόντων στις Στρατιωτικές και Αστυνομικές Σχολές, στη Σχολή Ανθυποπυραγών της Πυροσβεστικής Ακαδημίας, στις Ακαδημίες Εμπορικού Ναυτικού καθώς στις Ανώτερες Σχολές Τουριστικής Εκπαίδευσης Ρόδου και Κρήτης θα ορισθεί και θα ανακοινωθεί από τις ίδιες τις σχολές.
Β. Τέλος, ανακοινώνονται τα αποτελέσματα εισαγωγής στην Τριτοβάθμια Εκπαίδευση με τις ειδικές κατηγορίες των αλλοδαπών-αλλογενών (αποφοίτων Λυκείων εκτός Ε.Ε.) και των αποφοίτων Λυκείων ή αντίστοιχων σχολείων Κρατών-Μελών της Ε.Ε μη ελληνικής καταγωγής. Τα δικαιολογητικά και η διαδικασία εγγραφής αυτών των εισαγόμενων θα ανακοινωθούν κατά τις προσεχείς ημέρες με νεότερο Δελτίο Τύπου και αναλυτική εγκύκλιο, με την προϋπόθεση ότι πέραν των δικαιολογητικών που απαιτούνται θα προσκομίζεται και βεβαίωση των Πανεπιστημίων Αθήνας, Θεσσαλονίκης ή πιστοποιητικό τουλάχιστον επιπέδου Β2 (Γ’) του Κέντρου Ελληνικής Γλώσσας ότι γνωρίζουν την Ελληνική γλώσσα. Όσοι δεν κατέχουν την ανωτέρω βεβαίωση ή το πιστοποιητικό γνώσης της Ελληνικής γλώσσας ολοκληρώνουν την εγγραφή τους μετά από την προσκόμιση αυτών μέχρι και το επόμενο της εισαγωγής ακαδημαϊκό έτος, σε ημερομηνίες που ανακοινώνονται.
Τα δικαιολογητικά που απαιτούνται είναι αυτά που έχουν ανακοινωθεί με τις Οδηγίες για την εισαγωγή στην Τριτοβάθμια Εκπαίδευση της Ελλάδας των κατηγοριών:
α) αλλοδαπών-αλλογενών (αποφοίτων λυκείων εκτός Ε.Ε.) και β) αποφοίτων Λυκείων ή αντιστοίχων σχολείων κρατών –μελών της Ε.Ε. μη ελληνικής καταγωγής και θα κατατεθούν από τους ίδιους τους υποψηφίους ή από νόμιμα εξουσιοδοτημένο εκπρόσωπό τους στη γραμματεία της σχολής επιτυχίας, προκειμένου να γίνει ο έλεγχος τους για την ολοκλήρωση της εγγραφής τους.
Οι Σχολές και τα Τμήματα εισαγωγής μετά τον έλεγχο των δικαιολογητικών εκδίδουν βεβαίωση εισαγωγής προκειμένου οι εισαχθέντες να την προσκομίσουν στις αρμόδιες αρχές για τη χορήγηση άδειας παραμονής για την πραγματοποίηση των σπουδών τους.
Όλες οι σημαντικές και έκτακτες ειδήσεις σήμερα
Νέο Προσκλητήριο Προσλήψεων Εκπαιδευτών Ενηλίκων: Αφορά όλα τα πτυχία ΑΕΙ-ΤΕΙ - Πιστοποιηθείτε άμεσα
Παν.Πατρών: Tο 1ο στην Ελλάδα Πανεπιστημιακό Πιστοποιητικό ΤΕΧΝΗΤΗΣ ΝΟΗΜΟΣΥΝΗΣ για εκπαιδευτικούς
Πανεπιστήμιο Αιγαίου: Το κορυφαίο πρόγραμμα ειδικής αγωγής στην Ελλάδα - Αιτήσεις έως 14/9
Μοριοδοτούμενο σεμινάριο Ειδικής Αγωγής Πανεπιστημίου Πατρών με μόνο 60 ευρώ
Alfavita Newsroom