«ΦΡΕΣΚΑΡΟΥΜΕ» ΤΗ ΜΝΗΜΗ ΤΗΣ ΠΟΕΔΗΝ ΚΑΙ ΕΝΗΜΕΡΩΝΟΥΜΕ ΤΗΝ ΕΛΛΗΝΙΚΗ ΚΟΙΝΩΝΙΑ - ΞΕΚΙΝΑΕΙ ΣΗΜΕΡΑ Η ΑΠΟΚΑΛΥΨΗ ΣΥΓΚΛΟΝΙΣΤΙΚΩΝ ΣΤΟΙΧΕΙΩΝ ΓΙΑ ΤΟΥΣ ΠΑΡΑΝΟΜΟΥΣ ΤΙΤΛΟΥΣ ΠΟΥ ΚΑΤΕΘΕΣΕ ΣΤΗΝ ΚΟΜΙΣΙΟΝ ΤΟ 2014 Ο ΠΡΟΕΔΡΟΣ ΤΗΣ ΟΙΕΛΕ
Χθες αναφερθήκαμε στην αδιανόητη απόπειρα, μέσω κατάθεσης αγωγής, της ΠΟΕΔΗΝ για πολιτική και οικονομική εξόντωση της ΟΙΕΛΕ. Στο κείμενο της αγωγής είναι εμφανής η πρόθεση της ηγεσίας της ΠΟΕΔΗΝ να «ξεπλυθεί» ένα από τα μεγαλύτερα μεταπολιτευτικά σκάνδαλα στη χώρα, η έκδοση παράνομων τίτλων σπουδών από ιδιωτικά σχολεία-φαντάσματα και ο διορισμός των κατόχων τους στο δημόσιο. Είναι χαρακτηριστικό ότι στο κείμενο της αγωγής τα σχολεία αυτά χαρακτηρίζονται «νόμιμα» και οι μαθητές – που δεν παρακολουθούσαν μαθήματα και εργαστήρια, δεν έδιναν εξετάσεις και έπαιρναν άκοπα το είκοσι που τους εξασφάλιζε 1.000 μόρια στο διαγωνισμό του ΑΣΕΠ, άρα και σίγουρο διορισμό – αποκαλούνται «ανύποπτοι»!
Στην ανακοίνωσή μας αναφέραμε ότι ο μέσος πολίτης που πληροφορείται για την υπόθεση είναι εύλογο να συνδέσει την ηγεσία της ΠΟΕΔΗΝ με περίεργα συμφέροντα, καθώς την τακτική της αγωγής, ώστε να φιμωθεί η ΟΙΕΛΕ ακολούθησαν και οι εκπρόσωποι των σχολαρχών, όταν ο Πρόεδρος της ΟΙΕΛΕ το 2014 ως εκπρόσωπος των ελλήνων εργαζόμενων στο Advisory Group για το Ευρωπαϊκό Πλαίσιο Προσόντων έφερε αποκαλυπτικά στοιχεία για την έκδοση 2000 παράνομων τίτλων σπουδών μόνο από ιδιωτικά ΤΕΕ της Άρτας!
Προκειμένου να «φρεσκάρουμε» τη μνήμη των εκπροσώπων της ηγεσίας της ΠΟΕΔΗΝ, αλλά και για να πληροφορηθεί η ελληνική κοινωνία για το μέγεθος του πρωτοφανούς σκανδάλου με τους παράνομους τίτλους, η ΟΙΕΛΕ θα φέρνει στη δημοσιότητα καθημερινά συγκλονιστικά στοιχεία της υπόθεσης που κατατέθηκαν από τον πρόεδρο της ΟΙΕΛΕ στην Κομισιόν.
Η ΑΠΟΦΑΣΗ ΚΟΛΑΦΟΣ ΤΗΣ ΚΟΜΙΣΙΟΝ ΓΙΑ ΤΗΝ ΕΛΛΗΝΙΚΗ ΚΥΒΕΡΝΗΣΗ ΤΟ 2014
Η προκλητική αδιαφορία των κυβερνήσεων από το 2010 έως και το 2014 για την αντιμετώπιση του σκανδάλου των παράνομων τίτλων ανάγκασε τον Πρόεδρο της ΟΙΕΛΕ να προβεί στην καταγγελία στην Ε.Ε. Η Κομισιόν με κείμενο-καταπέλτη (συνημμένο) πάγωσε την διαδικασία αντιστοίχισης του Εθνικού με το Ευρωπαϊκό Πλαίσιο Προσόντων και ζήτησε από την τότε πολιτική ηγεσία του Υπουργείου Παιδείας να παρουσιάσει :
• Μέτρα Διασφάλισης Ποιότητας σχετικά με το έργο των παρόχων Ιδιωτικής
Εκπαίδευσης και Κατάρτισης.
• Μέτρα για τη διασφάλιση της νομιμότητας στις διαδικασίες και στην έκδοση των
τίτλων σπουδών από φορείς της ιδιωτικής εκπαίδευσης.
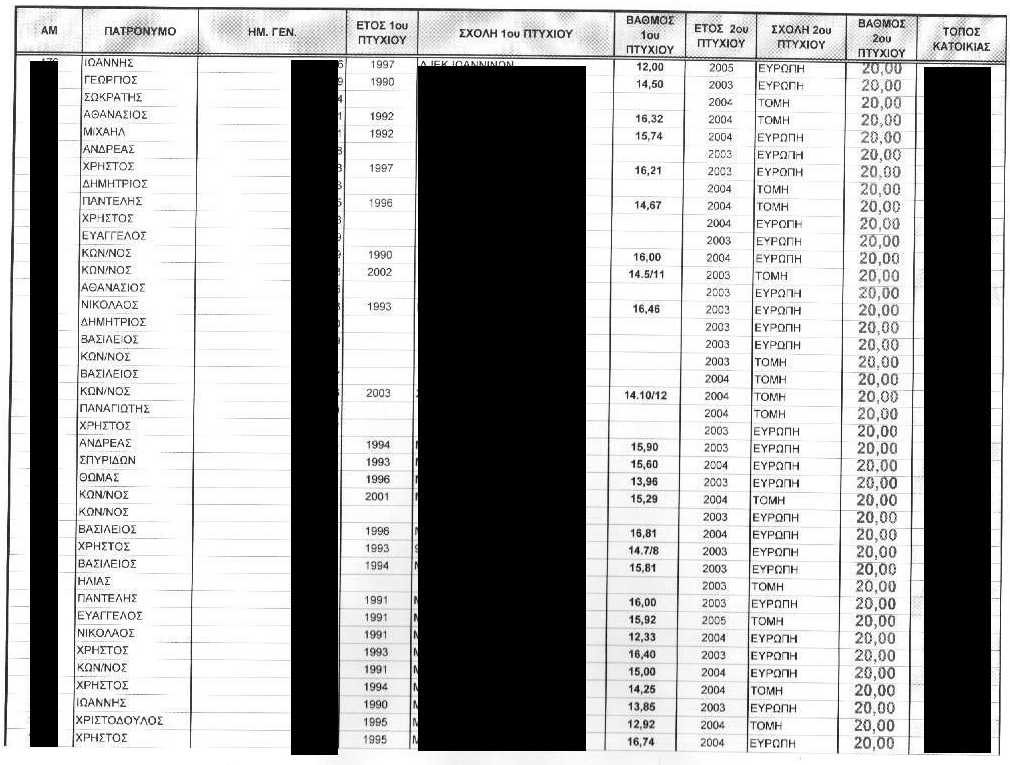
ΤΟ ΠΡΩΤΟ ΜΕΡΟΣ ΤΩΝ ΑΠΟΚΑΛΥΨΕΩΝ – ΣΠΟΥΔΑΣΤΕΣ ΠΟΥ ΑΠΟΦΟΙΤΗΣΑΝ ΑΠΟ ΔΗΜΟΣΙΟ ΛΥΚΕΙΟ ΜΕ ΧΑΜΗΛΟ ΒΑΘΜΟ, ΞΑΦΝΙΚΑ ΜΕΤΑΤΡΕΠΟΝΤΑΙ ΣΕ …ΞΕΦΤΕΡΙΑ ΤΟΥ 20 ΣΤΑ ΠΕΡΙΦΗΜΑ ΙΔΙΩΤΙΚΑ ΤΕΕ!
Όπως προαναφέραμε, από σήμερα θα δίνουμε τμηματικά συγκλονιστικά στοιχεία για το σκάνδαλο των παράνομων τίτλων. Ίσως έτσι κάποιοι αντιληφθούν το μέγεθος του ατοπήματος να μηνύσουν την ΟΙΕΛΕ προκειμένου να «ξεπλυθεί» ένα τεράστιο σκάνδαλο…
Μια από τις πολλές κατηγορίες κατόχων παράνομων τίτλων είναι αυτοί που είχαν αποφοιτήσει από το δημόσιο Λύκειο με χαμηλότατους βαθμούς με αποτέλεσμα να μην μπορούν να χρησιμοποιήσουν το απολυτήριό τους για διορισμό. Το καλό το παλικάρι ξέρει κι άλλο μονοπάτι όμως.
Αποκαλύπτουμε σήμερα λίστα μαθητών (συνημμένη), τα ονόματα των οποίων είναι στη διάθεση οποιουδήποτε φορέα, αρχής ή πολίτη επιθυμεί, που λίγα χρόνια μετά την αποφοίτησή τους από το δημόσιο λύκειο με κακό βαθμό, πήραν απολυτήριο από αυτά τα ιδιωτικά ΤΕΕ-φαντάσματα της Άρτας. Ως εκ θαύματος, οι μετριότατοι μαθητές του δημόσιου σχολείου μετετράπησαν – προφανώς μετά από θεία επιφοίτηση – σε άριστους και μάλιστα με ολοστρόγγυλα είκοσι! Πολλοί από τους «φωτισμένους» αυτούς εγκεφάλους σήμερα είναι διορισμένοι στο Δημόσιο.
Τις επόμενες ημέρες ακολουθούν άλλες προκλητικές κατηγορίες κατόχων παράνομων τίτλων που θα δημοσιεύονται στην ιστοσελίδα της ΟΙΕΛΕ.
ΓΙΑ ΤΟ Δ.Σ. ΤΗΣ Ο.Ι.Ε.Λ.Ε.
Ο ΠΡΟΕΔΡΟΣ Ο ΓΕΝ. ΓΡΑΜΜΑΤΕΑΣ
ΜΙΧΑΛΗΣ ΚΟΥΡΟΥΤΟΣ ΓΙΩΡΓΟΣ ΧΡΙΣΤΟΠΟΥΛΟΣ

(…)
Οι εργασίες για την κατάρτιση του ευρωπαϊκού πλαισίου προσόντων ξεκίνησαν πριν από 10 χρόνια, το φθινόπωρο του 2004. Χάρις στην πρωτοβουλία αυτή, τα πλαίσια προσόντων έγιναν αναπόσπαστο τμήμα όλων σχεδόν των ευρωπαϊκών εκπαιδευτικών συστημάτων. Εκτός Ευρώπης, χώρες και περιοχές, ιδίως Ασίας-Ειρηνικού, σπεύδουν να καταρτίσουν και να εφαρμόσουν παρόμοια πλαίσια.
Σε όλο αυτό το διάστημα, το Cedefop επιδόθηκε στη χαρτογράφηση και συστηματική ανάλυση των αναδυόμενων πλαισίων.

Τα Εθνικά Πλαίσια Προσόντων 28 χωρών έχουν εγκριθεί επίσημα.
26 χώρες έχουν ήδη παρουσιάσει τις Εκθέσεις Αντιστοίχισης του Εθνικού τους Πλαισίου
Προσόντων με το Ευρωπαϊκό Πλαίσιο Προσόντων.
9 χώρες αναφέρουν τα επίπεδα του Εθνικού τους Πλαισίου Προσόντων στα πιστοποιητικά, διπλώματα και έγγραφα του Europass.
Μια χώρα μπορεί να εφαρμόζει το Εθνικό της Πλαίσιο Προσόντων χωρίς να θεσπίσει νομοθετικό πλαίσιο, λαμβάνοντας τις σχετικές αποφάσεις με συναινετικές διαδικασίες. Όμως για την πλήρη εφαρμογή των σχετικών ρυθμίσεων, και ένταξή τους στην εθνική έννομη τάξη, είναι προτιμότερη η θέσπιση νομοθετικού πλαισίου. Η διαδικασία αυτή λαμβάνει ποικίλες μορφές: ορισμένες χώρες τροποποιούν την ισχύουσα νομοθεσία, ενώ άλλες θεσπίζουν νέα. Έως τον Οκτώβριο του 2014 είχε αποσαφηνιστεί η νομική βάση 28 εθνικών πλαισίων. Τα πιο πρόσφατα από αυτά είναι τα θεσμικά πλαίσια της Κροατίας, της πρώην Γιουγκοσλαβικής Δημοκρατίας της Μακεδονίας, της Ρουμανίας και της Ελβετίας. Επί του παρόντος, η γαλλόφωνη κοινότητα του Βελγίου, η Πολωνία, η Σλοβενία, η Ισπανία, η Σουηδία και η Τουρκία βρίσκονται στο στάδιο θέσπισης των τελικών συναφών νομοθετικών ρυθμίσεων. Και η Φινλανδία σημείωσε πρόσφατα μεγάλη πρόοδο, αλλά η περίπτωσή της αποκαλύπτει ότι η θέσπιση ενός Εθνικού Πλαισίου Προσόντων δεν αποτελεί απλώς τεχνική διαδικασία – χρειάζεται και πολιτική στήριξη.
Για να λειτουργήσει ένα πλαίσιο πρέπει να έχει προηγηθεί η θέσπιση όλων των απαιτούμενων
διαδικασιών. Μεταξύ αυτών είναι η κατάταξη των προσόντων σε επίπεδα, η πλήρης εφαρμογή των ρυθμίσεων διασφάλισης της ποιότητας και η ενσωμάτωση όλων των προσόντων, μεταξύ άλλων και όσων αποκτώνται εκτός τυπικού συστήματος εκπαίδευσης και κατάρτισης. Οι κάτωθι χώρες έχουν ήδη θέσει σε ισχύ τις σχετικές ρυθμίσεις, και τα οικεία συστήματα προσόντων έχουν σχεδόν καταστεί πλήρως λειτουργικά: Βέλγιο (γερμανόφωνη κοινότητα),
Εσθονία, Γερμανία, Ισλανδία, Κροατία, Λετονία, Λιθουανία, Λουξεμβούργο, Μαυροβούνιο, Νορβηγία και Πορτογαλία.
Η σημαντικότερη προϋπόθεση για την πλήρη λειτουργία ενός εθνικού συστήματος προσόντων
είναι να εφαρμοστεί η προσέγγιση των μαθησιακών αποτελεσμάτων. Σε πολλές χώρες, αυτό προϋποθέτει εκτενείς συζητήσεις σχετικά με το πώς συνδέονται διάφορα προσόντα και την
«πιστωτική» αξία τους. Πολλές χώρες παραπέμπουν πλέον στα επίπεδα του οικείου Εθνικού Πλαισίου Προσόντων, όταν αναπτύσσουν πρότυπα προσόντων. Για να αναπτύξουν πλήρως το δυναμικό τους, τα Εθνικά Πλαίσια Προσόντων πρέπει να έχουν μακροπρόθεσμο χαρακτήρα και να ενσωματωθούν πλήρως στις πολιτικές εκπαίδευσης, κατάρτισης και απασχόλησης.
Για να επιτευχθεί ο στόχος των Εθνικών Πλαισίων Προσόντων πρέπει αυτά να είναι γνωστά και να λειτουργούν με προβλέψιμο τρόπο. Αντίθετο παράδειγμα αποτελεί η Αγγλία, που εφαρμόζει πλήθος μεταβαλλόμενων πλαισίων προσόντων, με κίνδυνο να μειώνεται η διαφάνεια.
Εθνικά Πλαίσια Προσόντων και ωφελούμενοι
Τα Εθνικά Πλαίσια Προσόντων μπορούν να γίνουν πλήρως λειτουργικά, μόνον εάν οι τελικοί χρήστες (εκπαιδευόμενοι, γονείς, διδακτικό προσωπικό, σύμβουλοι προσανατολισμού) έχουν επίγνωση των σχετικών ρυθμίσεων. Οι περισσότερες χώρες που θέσπισαν πρόσφατα Εθνικά Πλαίσια Προσόντων, αυτό δεν το έχουν ακόμη επιτύχει. Ωστόσο, τα ώριμα πλαίσια, όπως το πλαίσιο μονάδων αξιολόγησης και προσόντων της Σκωτίας (SCQF) έχουν επιτύχει υψηλό βαθμό αναγνώρισης από τους ωφελούμενους.
Η αναγραφή των επιπέδων του Εθνικού Πλαισίου Προσόντων και του Ευρωπαϊκού Πλαισίου Προσόντων στα πιστοποιητικά και στους τίτλους εκπαίδευσης, καθώς και στις βάσεις δεδομένων για τα προσόντα, μπορεί στο θέμα αυτό να αποδειχθεί κρίσιμη. Χώρες όπως η Τσεχική Δημοκρατία, η Δανία, η Εσθονία, η Ιρλανδία, η Γαλλία, η Γερμανία, η Λιθουανία, η Μάλτα και η Πορτογαλία έχουν σημειώσει πρόοδο σε αυτόν τον τομέα. Λιγότερη πρόοδος παρατηρείται στην Αγγλία και Βόρεια Ιρλανδία, όπου εναπόκειται στους φορείς χορήγησης τίτλων εκπαίδευσης να αποφασίζουν, εάν θα αναφέρουν τα επίπεδα αντιστοίχισης με το Ευρωπαϊκό Πλαίσιο Προσόντων.
Για να είναι γνωστό ένα Εθνικό Πλαίσιο Προσόντων και να βοηθάει τα άτομα να σχεδιάζουν την εκπαίδευση και κατάρτισή τους, πρέπει τα επίπεδα να αποτελούν σημείο αναφοράς σε όλα τα στάδια της εκπαίδευσης και κατάρτισης: οι βάσεις δεδομένων για τα προσόντα πρέπει να αντικατοπτρίζουν τα επίπεδα του πλαισίου, τα πρότυπα και τα προγράμματα πρέπει επίσης να αναφέρονται στο πλαίσιο, οι σύμβουλοι πρέπει να το χρησιμοποιούν ως εργαλείο, και τέλος, πρέπει να καταστεί εφικτή η αναγνώριση των αποτελεσμάτων της εκπαίδευσης και κατάρτισης μέσω του σχετικού επιπέδου του Εθνικού Πλαισίου Προσόντων και του Ευρωπαϊκού Πλαισίου Προσόντων .
Το ως άνω ενημερωτικό σημείωμα του Cedefop μπορεί να αναζητηθεί στην παρακάτω ιστοσελίδα:
http://www.cedefop.europa.eu/en/publications-andΣφάλμα! Η αναφορά της υπερ-σύνδεσης δεν είναι έγκυρη.resources/publications/9091?wt.mc_id=BN20141216-EL&utm_campaign=BN20141216-Σφάλμα! Η αναφορά της υπερ-σύνδεσης δεν είναι έγκυρη.
Ελλάδα
Απαραίτητη προϋπόθεση για την Ελλάδα είναι να παρουσιάσει :
· Μέτρα Διασφάλισης Ποιότητας σχετικά με το έργο των παρόχων Ιδιωτικής
Εκπαίδευσης και Κατάρτισης.
· Μέτρα για τη διασφάλιση της νομιμότητας στις διαδικασίες και στην έκδοση των
τίτλων σπουδών από φορείς της ιδιωτικής εκπαίδευσης.
Από την Πρόεδρο της Συμβουλευτικής Ομάδας για το Ευρωπαϊκό Πλαίσιο Προσόντων κ. Ana
Carla Pereira, αναφέρθηκε χαρακτηριστικά το εξής:
«Εάν σε μία χώρα εκτιμάται ότι θα βοηθήσει η παρουσία εκπροσώπων της ΕΕ στη διαδικασία αντιστοίχισης του Εθνικού της Πλαισίου Προσόντων με το Ευρωπαϊκό Πλαίσιο Προσόντων, είμαστε διατεθειμένοι να ταξιδέψουμε στη χώρα αυτή για παροχή συμβουλών και υποστήριξης».
Σε ερώτηση της κυρίας Ιωάννας Δέδε, εάν η ως άνω αναφορά θα μπορούσε να μεταφερθεί στην ηγεσία του Υπουργείου Παιδείας και Θρησκευμάτων της Ελλάδας, η απάντηση της Προέδρου κας A. C. Pereira, ήταν θετική.
Άλλες Χώρες
Μαζί με την Ελλάδα εκλήθησαν και η Κύπρος και η Ρουμανία να παρέχουν πρόσθετες πληροφορίες που απαιτούνται για να ολοκληρωθεί η διαδικασία αντιστοίχισης των Εθνικών τους Πλαισίων με το Ευρωπαϊκό Πλαίσιο Προσόντων εντός του έτους 2015.
Η Εσθονία θα ενημερώσει σχετικά με το πρώτο σχέδιο της Έκθεσης Αντιστοίχισης του Εθνικού της Πλαισίου Προσόντων με το Ευρωπαϊκό Πλαίσιο Προσόντων εντός του έτους 2015.
Η Ισπανία, η Πρώην Γιουγκοσλαβική Δημοκρατία της Μακεδονίας, η Ουγγαρία, η Σουηδία και η Σλοβακία θα παρουσιάσουν την Έκθεση Αντιστοίχισης των Εθνικών τους Πλαισίων με το Ευρωπαϊκό Πλαίσιο Προσόντων εντός του έτους 2015.
Επίσης η Ελβετία θα λάβει μέρος στις συνεδριάσεις της Συμβουλευτικής Ομάδας για το Ευρωπαϊκό Πλαίσιο Προσόντων και θα παρουσιάσει την Έκθεση Αντιστοίχισης του Εθνικού της Πλαισίου Προσόντων με το Ευρωπαϊκό Πλαίσιο Προσόντων εντός του έτους 2015.
Παρουσίαση – Χώρα: Τουρκία
Από την εκπρόσωπο της Τουρκίας παρουσιάστηκε η πορεία των εξελίξεων σχετικά με την ανάπτυξη του Εθνικού Πλαισίου Προσόντων της Τουρκίας και αναφέρθηκε ότι η Έκθεση Αντιστοίχισης θα παρουσιαστεί κατά το δεύτερο εξάμηνο του 2015.
Υποχρεώσεις των χωρών - μελών
Οι χώρες που συμμετέχουν στη Συμβουλευτική Ομάδα για το Ευρωπαϊκό Πλαίσιο Προσόντων οφείλουν να ενημερώσουν την Επιτροπή σχετικά με τις αλλαγές στους οδικούς χάρτες της αντιστοίχισης και ιδίως στην ημερομηνία της (…)
Όλες οι σημαντικές και έκτακτες ειδήσεις σήμερα
Νέο Προσκλητήριο Προσλήψεων Εκπαιδευτών Ενηλίκων: Αφορά όλα τα πτυχία ΑΕΙ-ΤΕΙ - Πιστοποιηθείτε άμεσα
Παν.Πατρών: Tο 1ο στην Ελλάδα Πανεπιστημιακό Πιστοποιητικό ΤΕΧΝΗΤΗΣ ΝΟΗΜΟΣΥΝΗΣ για εκπαιδευτικούς
Πανεπιστήμιο Αιγαίου: Το κορυφαίο πρόγραμμα ειδικής αγωγής στην Ελλάδα - Αιτήσεις έως 14/9
Μοριοδοτούμενο σεμινάριο Ειδικής Αγωγής Πανεπιστημίου Πατρών με μόνο 60 ευρώ
Alfavita Newsroom