Να γίνουν αποσπάσεις ΤΩΡΑ σε όλα τα εναπομείναντα κενά
Αναγκαία προϋπόθεση για μια επιτυχημένη εκπαιδευτική διαδικασία αποτελεί και η διαμόρφωση συνθηκών ψυχικής ηρεμίας στους εκπαιδευτικούς.
Χιλιάδες είναι οι συνάδελφοι οι οποίοι με πολυετείς προσωπικές θυσίες υπηρετούν το Ελληνικό εκπαιδευτικό σύστημα μακριά από τις οικογένειές των. Επιπλέον αρκετοί εξ αυτών βιώνουν στην οικογένειά τους, τις θλιβερές συνέπειες ανιάτων ασθενειών. Εξαιτίας της ουσιαστικής ανυπαρξίας μεταθέσεων των τελευταίων χρόνων, οι αποσπάσεις αποτελούν τη μοναδική διέξοδο στις τραγικές συνθήκες που βιώνουν.
Οι πρόσφατες αποσπάσεις έδειξαν ότι στο ζήτημα αυτό, όχι μονό δεν επιδεικνύεται η απαραίτητη κοινωνική ευαισθησία αλλά αντιθέτως περιορίζεται η όποια δυνατότητα υπάρχει για κάλυψη διαπιστωμένων κενών. Ως Αιρετός του ΚΥΣΔΕ καλώ την πολιτική ηγεσία να συμβάλλει έτσι ώστε:
- Το ΚΥΣΔΕ άμεσα και πριν την έναρξη της σχολικής χρονιάς, να συνεδριάσει και να εισηγηθεί αποσπάσεις μεταξύ των φερόμενων ως «πλεονασματικών περιοχών»
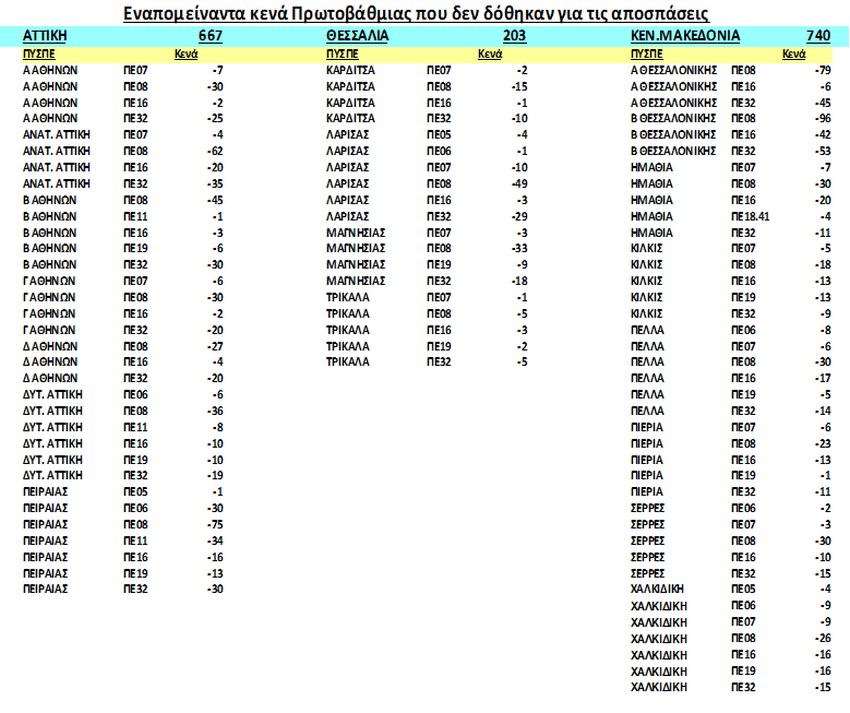
- Να γίνουν Αποσπάσεις ΤΩΡΑ σε όλα τα εναπομείναντα κενά της Πρωτοβάθμιας (1.610 σε Κεντρική Μακεδονία, Θεσσαλία και Αττική).
Πεππές Δημήτρης
Όλες οι σημαντικές και έκτακτες ειδήσεις σήμερα
Νέο Προσκλητήριο Προσλήψεων Εκπαιδευτών Ενηλίκων: Αφορά όλα τα πτυχία ΑΕΙ-ΤΕΙ - Πιστοποιηθείτε άμεσα
Παν.Πατρών: Tο 1ο στην Ελλάδα Πανεπιστημιακό Πιστοποιητικό ΤΕΧΝΗΤΗΣ ΝΟΗΜΟΣΥΝΗΣ για εκπαιδευτικούς
Πανεπιστήμιο Αιγαίου: Το κορυφαίο πρόγραμμα ειδικής αγωγής στην Ελλάδα - Αιτήσεις έως 14/9
Μοριοδοτούμενο σεμινάριο Ειδικής Αγωγής Πανεπιστημίου Πατρών με μόνο 60 ευρώ
Alfavita Newsroom 