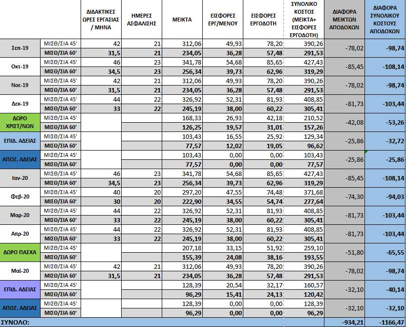
Αναλυτικό πίνακα, στον οποίο αναλύεται η αμοιβή και το μέρος εκείνο που χάνει ένας καθηγητής ο οποίος εργάζεται σε Κέντρο Ξένων Γλωσσών ή Φροντιστήριο Μέσης Εκπαίδευσης δημοσιεύει η σελίδα Εργασιακά Δικαιώματα Καθηγητών.
Σύμφωνα με όσα αναφέρονται, ο παράνομος υπολογισμός της διδακτικής ώρας ως 60λεπτης, με 7.43 ευρώ ωρομίσθιο, Δευτέρα - Παρασκευή, με 90 λεπτά μάθημα ημερησίως - αν υποτεθεί ότι δίνονται όλα τα επιδόματα και τα δώρα νομότυπα - σε σχέση με το νόμιμο 45λεπτο, οδηγεί σε 7.5 δηλωμένες διδακτικές ώρες τη εβδομάδα αντί 10 που θα προέκυπταν νόμιμα.

Όλες οι σημαντικές και έκτακτες ειδήσεις σήμερα
Νέο Προσκλητήριο Προσλήψεων Εκπαιδευτών Ενηλίκων: Αφορά όλα τα πτυχία ΑΕΙ-ΤΕΙ - Πιστοποιηθείτε άμεσα
Παν.Πατρών: Tο 1ο στην Ελλάδα Πανεπιστημιακό Πιστοποιητικό ΤΕΧΝΗΤΗΣ ΝΟΗΜΟΣΥΝΗΣ για εκπαιδευτικούς
Πανεπιστήμιο Αιγαίου: Το κορυφαίο πρόγραμμα ειδικής αγωγής στην Ελλάδα - Αιτήσεις έως 14/9
Μοριοδοτούμενο σεμινάριο Ειδικής Αγωγής Πανεπιστημίου Πατρών με μόνο 60 ευρώ
Alfavita Newsroom