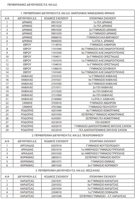
Ένταξη Σχολικών Μονάδων Δευτεροβάθμιας Εκπαίδευσης στις Ζώνες Εκπαιδευτικής Προτεραιότητας (ΖΕΠ), όπου δύνανται να λειτουργήσουν Τάξεις Υποδοχής (Τ.Υ.) Ι και ΙΙ ΖΕΠ.
Δημοσιεύθηκε στο ΦΕΚ B 3736 – 08.10.2019 η Απόφαση της Υφυπουργού Παιδείας κας Σοφίας Ζαχαράκη αναφορικά με την ένταξη Σχολικών Μονάδων Δευτεροβάθμιας Εκπαίδευσης στις Ζώνες Εκπαιδευτικής Προτεραιότητας (ΖΕΠ), όπου δύνανται να λειτουργήσουν Τάξεις Υποδοχής (Τ.Υ.) Ι και ΙΙ ΖΕΠ.


Όλες οι σημαντικές και έκτακτες ειδήσεις σήμερα
Νέο Προσκλητήριο Προσλήψεων Εκπαιδευτών Ενηλίκων: Αφορά όλα τα πτυχία ΑΕΙ-ΤΕΙ - Πιστοποιηθείτε άμεσα
Παν.Πατρών: Tο 1ο στην Ελλάδα Πανεπιστημιακό Πιστοποιητικό ΤΕΧΝΗΤΗΣ ΝΟΗΜΟΣΥΝΗΣ για εκπαιδευτικούς
Πανεπιστήμιο Αιγαίου: Το κορυφαίο πρόγραμμα ειδικής αγωγής στην Ελλάδα - Αιτήσεις έως 14/9
Μοριοδοτούμενο σεμινάριο Ειδικής Αγωγής Πανεπιστημίου Πατρών με μόνο 60 ευρώ
Alfavita Newsroom