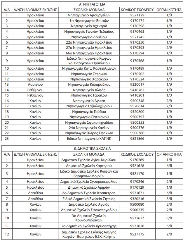
Με απόφαση που υπέγραψε ο Περιφερειακός Διευθυντής Πρωτοβάθμιας και Δευτεροβάθμιας Εκπαίδευσης Κρήτης, Εμμανουήλ Καρτσωνάκης, αναστέλλεται η λειτουργία Δημοτικών Σχολείων και Νηπιαγωγείων Κρήτης για το σχολικό έτος 2019- 2020.
Αναλυτικά τα Δημοτικά που σταματούν τη λειτουργία τους:

Όλες οι σημαντικές και έκτακτες ειδήσεις σήμερα
Νέο Προσκλητήριο Προσλήψεων Εκπαιδευτών Ενηλίκων: Αφορά όλα τα πτυχία ΑΕΙ-ΤΕΙ - Πιστοποιηθείτε άμεσα
Παν.Πατρών: Tο 1ο στην Ελλάδα Πανεπιστημιακό Πιστοποιητικό ΤΕΧΝΗΤΗΣ ΝΟΗΜΟΣΥΝΗΣ για εκπαιδευτικούς
Πανεπιστήμιο Αιγαίου: Το κορυφαίο πρόγραμμα ειδικής αγωγής στην Ελλάδα - Αιτήσεις έως 14/9
Μοριοδοτούμενο σεμινάριο Ειδικής Αγωγής Πανεπιστημίου Πατρών με μόνο 60 ευρώ
Alfavita Newsroom