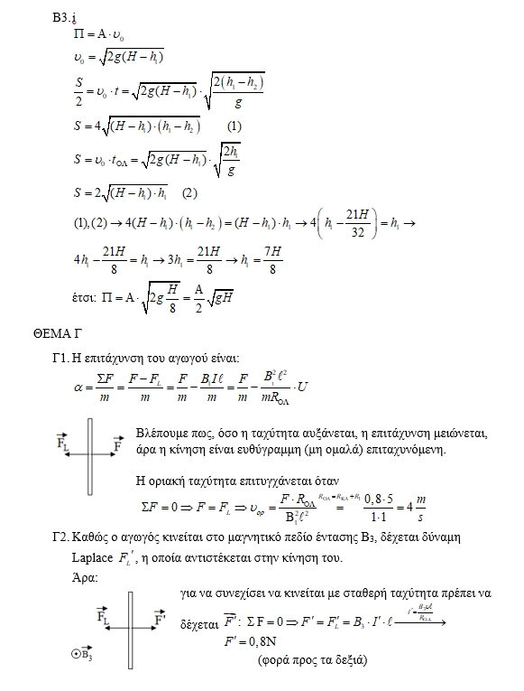
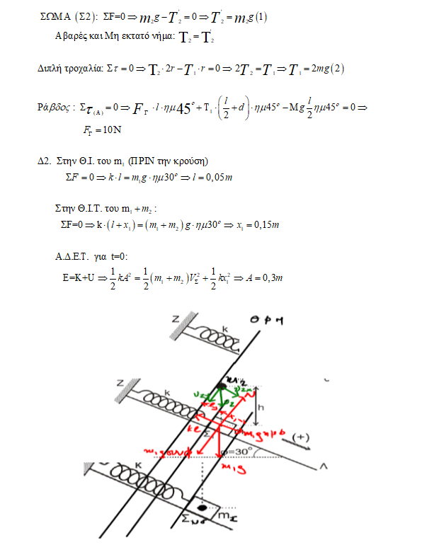
Στο μάθημα της Φυσικής εξετάζονται σήμερα οι υποψήφιοι των Πανελλαδικών Εξετάσεων (παλαιό και νέο σύστημα).












ΣΗΜΑΝΤΙΚΟ ΓΙΑ ΤΟΥΣ ΑΝΑΓΝΩΣΤΕΣ ΤΟΥ ALFAVITA.GR
Ακολουθήστε μας στο GoogleNews για να μάθετε πρώτοι μόνο τις ειδήσεις που σας ενδιαφέρουν
Όλες οι σημαντικές και έκτακτες ειδήσεις σήμερα
Νέο Προσκλητήριο Προσλήψεων Εκπαιδευτών Ενηλίκων: Αφορά όλα τα πτυχία ΑΕΙ-ΤΕΙ - Πιστοποιηθείτε άμεσα
Παν.Πατρών: Tο 1ο στην Ελλάδα Πανεπιστημιακό Πιστοποιητικό ΤΕΧΝΗΤΗΣ ΝΟΗΜΟΣΥΝΗΣ για εκπαιδευτικούς
Πανεπιστήμιο Αιγαίου: Το κορυφαίο πρόγραμμα ειδικής αγωγής στην Ελλάδα - Αιτήσεις έως 14/9
Μοριοδοτούμενο σεμινάριο Ειδικής Αγωγής Πανεπιστημίου Πατρών με μόνο 60 ευρώ
Alfavita Newsroom