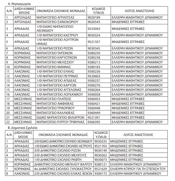
Δημοσιεύθηκε σε ΦΕΚ η απόφαση αναστολής λειτουργίας Νηπιαγωγείων και Δημοτικών Σχολείων της Περιφέρειας Πελοποννήσου για το σχολικό έτος 2021-2022.
Ειδικότερα, σύμφωνα με την απόφαση κλείνουν 18 νηπιαγωγεία και εννέα δημοτικά.


Όλες οι σημαντικές και έκτακτες ειδήσεις σήμερα
Νέο Προσκλητήριο Προσλήψεων Εκπαιδευτών Ενηλίκων: Αφορά όλα τα πτυχία ΑΕΙ-ΤΕΙ - Πιστοποιηθείτε άμεσα
Παν.Πατρών: Tο 1ο στην Ελλάδα Πανεπιστημιακό Πιστοποιητικό ΤΕΧΝΗΤΗΣ ΝΟΗΜΟΣΥΝΗΣ για εκπαιδευτικούς
Πανεπιστήμιο Αιγαίου: Το κορυφαίο πρόγραμμα ειδικής αγωγής στην Ελλάδα - Αιτήσεις έως 14/9
Μοριοδοτούμενο σεμινάριο Ειδικής Αγωγής Πανεπιστημίου Πατρών με μόνο 60 ευρώ
Alfavita Newsroom