Δημοσιεύθηκε συμπληρωματική απόφαση για την «κατά παρέκκλιση έγκριση λειτουργίας ολιγομελών τμημάτων για το σχολικό έτος 2021-22.
Πρόκειται για την αρ. πρωτ. 106077/Δ2/01-09-2021 Υ.Α., που υπογράφει η υφυπουργός Παιδείας Ζέττα Μακρή και με την οποία εγκρίνονται ολιγομελή τμήματα ομάδων μαθημάτων προσανατολισμού γενικού λυκείου σε όλη την επικράτεια.
Δείτε την απόφαση
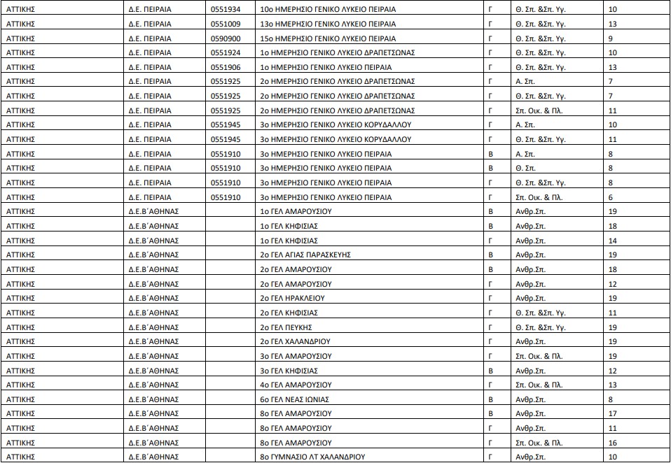
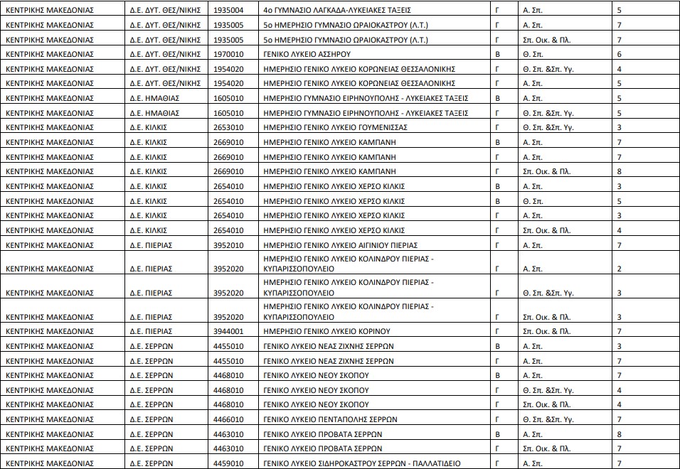
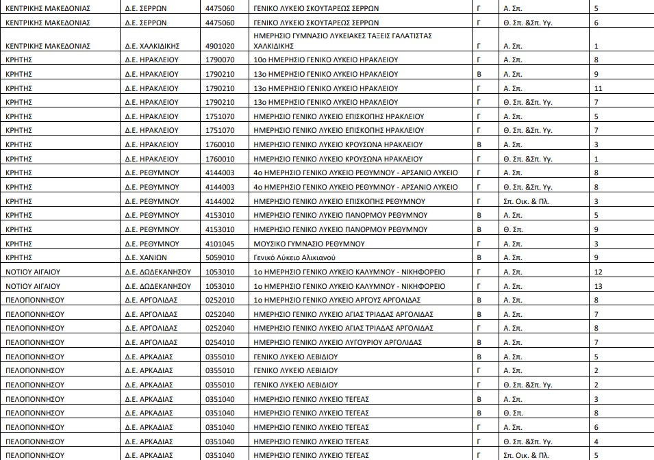
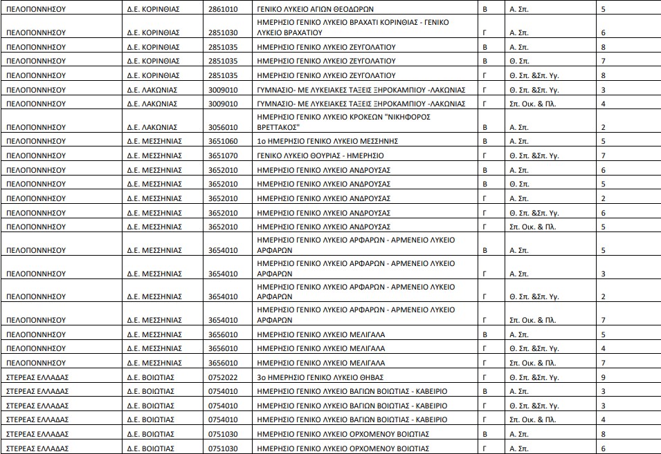
Ακολουθούν οι πίνακες με τις σχολικές μονάδες ανά περιφέρεια:
















Όλες οι σημαντικές και έκτακτες ειδήσεις σήμερα
Νέο Προσκλητήριο Προσλήψεων Εκπαιδευτών Ενηλίκων: Αφορά όλα τα πτυχία ΑΕΙ-ΤΕΙ - Πιστοποιηθείτε άμεσα
Παν.Πατρών: Tο 1ο στην Ελλάδα Πανεπιστημιακό Πιστοποιητικό ΤΕΧΝΗΤΗΣ ΝΟΗΜΟΣΥΝΗΣ για εκπαιδευτικούς
Πανεπιστήμιο Αιγαίου: Το κορυφαίο πρόγραμμα ειδικής αγωγής στην Ελλάδα - Αιτήσεις έως 14/9
Μοριοδοτούμενο σεμινάριο Ειδικής Αγωγής Πανεπιστημίου Πατρών με μόνο 60 ευρώ
Alfavita Newsroom