Οι Ελληνες επιστήμονες Πληροφορικής είναι από τους καλύτερους παγκοσμίως, αλλά επειδή δε βρίσκουν στη χώρα μας δουλειές με αμοιβές ανάλογες των προσόντων τους οι περισσότεροι μεταναστεύουν. Κι αυτά,ενώ ήδη γνωρίζουμε ότι τα επόμενα χρόνια και μέχρι το 2030 αναμένεται επιπρόσθετη σωρευτική ζήτηση 120.000 - 140.000 ειδικών ΤΠΕ...
Ως αποτέλεσμα του Brain-Drain των «πληροφορικάριων», οι εταιρίες στην Ελλάδα αντιμετωπίζουν δυσκολίες στην εξεύρεση προσωπικού ΤΠΕ, με κύριες αιτίες τη μη επαρκή εξειδίκευση και τη μετανάστευση νέων επιστημόνων το εξωτερικό.
Σε αυτό το συμπέρασμα οδηγούν δύο ανεξάρτητες επιστημονικές έρευνες που δημοσιεύθηκαν πρόσφατα. Η πρώτη έρχεται από τον Σύνδεσμο Επιχειρήσεων Πληροφορικής και Επικοινωνιών Ελλάδας, ο οποίος σε συνεργασία με την εταιρία συμβούλων Deloitte, διενήργησε μελέτη για την αξιολόγηση της επάρκειας ειδικών ΤΠΕ στην Ελλάδα, τα αποτελέσματα της οποίας παρουσιάστηκαν στο digital economy forum 2022: digital Greece in the spotlight (https://deforum.sepe.gr/).
Η δεύτερη, είναι έρευνα του Τμήματος Διοικητικής Επιστήμης και Τεχνολογίας του ΕΛΜΕΠΑ, που διενήργησαν οι κ.κ. Γεώργιος Βασιλειάδης Επίκουρος Καθηγητής, Κωνσταντίνος Παναγιωτάκης , Αναπληρωτής Καθηγητής και Πρόεδρος του εν λόγω Τμήματος, Ηλιάνα Στενάκη, προπτυχιακή φοιτήτρια και Ιωάννης Φανουργιάκης, Επίκουρος Καθηγητής. Ας τα δούμε αναλυτικά:
Η έρευνα του ΣΕΠΕ
Στην έρευνα αυτή, επιβεβαιώθηκε ότι η συντριπτική πλειοψηφία των επιχειρήσεων στην Ελλάδα έχουν ακάλυπτες θέσεις ειδικών ΤΠΕ, ενώ αναμένεται σημαντική αύξηση των αναγκών τους στο μέλλον. Συγκεκριμένα, στην περίοδο 2023-2030, αναμένεται επιπρόσθετη σωρευτική ζήτηση 120.000 - 140.000 ειδικών ΤΠΕ.
Η έρευνα, επίσης, επιβεβαίωσε ότι οι εταιρίες στην Ελλάδα αντιμετωπίζουν δυσκολίες στην εξεύρεση προσωπικού ΤΠΕ, με κύριες αιτίες τη μη επαρκή εξειδίκευση και τη μετανάστευση νέων επιστημόνων το εξωτερικό.

Σε αυτό το πλαίσιο, στη μελέτη προτείνονται δέκα δράσεις, οι οποίες θα μπορούσαν να συμβάλουν στην κάλυψη του κενού σε ειδικούς ΤΠΕ στην Ελλάδα. Πιο συγκεκριμένα, προτείνονται οι ακόλουθες δράσεις.
Βραχυπρόθεσμες:
- Αύξηση προγραμμάτων κατάρτισης σε αντικείμενα ΤΠΕ,
- Προσέλκυση & αξιοποίηση ειδικών από το εξωτερικό (Visas/ Hubs),
- Δημιουργία νέων μεταπτυχιακών τμημάτων ΤΠΕ,
- Υποχρεωτική πρακτική άσκηση φοιτητών & ενίσχυση συνεργασίας ΑΕΙ - εταιριών.
Μακροπρόθεσμες:
- Δημιουργία νέων προπτυχιακών τμημάτων ΤΠΕ,
- Εμπλουτισμός προγραμμάτων σπουδών λοιπών τμημάτων με μαθήματα ΤΠΕ,
- Ενίσχυση αντικειμένων & δεξιοτήτων ΤΠΕ σε Πρωτοβάθμια και Δευτεροβάθμια εκπαίδευση, Συνεργασία με ξένες χώρες σε πανεπιστημιακό επίπεδο.
Λαμβάνοντας υπόψη το χρονικό ορίζοντα που απαιτείται, για να είναι ορατά τα αποτελέσματα των δράσεων, προβλέπεται το κενό να καλυφθεί από το έτος 2029 και μετά.

Δείτε την έρευνα του ΣΕΠΕ ΕΔΩ
Η έρευνα του ΕΛΜΕΠΑ
Η εργασία του Τμήματος Διοικητικής Επιστήμης και Τεχνολογίας του Ελληνικού Μεσογειακού Πανεπιστημίου με θέμα “The Impact of Brain-drain in Country Ranking: The case of Computer Science” (Ο αντίκτυπος του Brain-Drain επιστημόνων στην κατάταξη χωρών: Η περίπτωση της Πληροφορικής) δημοσιεύτηκε στις 17 Δεκεμβρίου 2022, στο διεθνές επιστημονικό περιοδικό Scientometrics του εκδοτικού οίκου Springer [1] το οποίο αποτελεί ένα από τα κορυφαία επιστημονικά περιοδικά της επιστημονικομετρίας παγκοσμίως με δείκτη απήχησης πενταετίας (Five year impact factor) 4,13. Τα αποτελέσματα της έρευνας που πλέον έγιναν γνωστά και αποδεκτά από τη διεθνή επιστημονική κοινότητα αναδεικνύουν την Ελλάδα ως μία χώρα που διαθέτει ιδιαίτερα υψηλό αριθμό από κορυφαίους επιστήμονες Πληροφορικής συγκριτικά με το πληθυσμό της και την οικονομική της ανάπτυξη αλλά και το φαινόμενο διαρροής επιστημόνων της στο εξωτερικό (Brain-Drain).
Η συγκεκριμένη μελέτη αφορά τους κορυφαίους επιστήμονες Πληροφορικής παγκοσμίως και αποτελεί επέκταση σχετικής εργασίας του Τμήματος που είχε δημοσιευτεί το 2021 σε Ελληνικά ΜΜΕ [2]. Τα δεδομένα της έρευνας προέρχονται από τη διεθνή βάση Research.com και η συλλογή τους έγινε τον Ιούνιο του 2021. Επιπλέον χρησιμοποιήθηκαν δημογραφικά στοιχεία όπως ο πληθυσμός και το οικονομικό επίπεδο των χωρών. Τα πληθυσμιακά δεδομένα και το κατά κεφαλήν ΑΕΠ (Gross domestic product per capita), που μετράει το μέσο εισόδημα ανά κάτοικο και συνδέεται με την οικονομική ανάπτυξη των χωρών, έχουν ληφθεί από το Διεθνές Νομισματικό Ταμείο (International Monetary Fund) στα τέλη του 2020. Για τις ανάγκες της μελέτης υπολογίστηκε η αναλογία των κορυφαίων επιστημόνων πληροφορικής στον πληθυσμό της χώρας (ανά εκατομμύριο πληθυσμού) όπως φαίνεται στον Πίνακα 1.
Σύμφωνα με τη μελέτη υπάρχουν σε παγκόσμιο επίπεδο 6.415 επιστήμονες πληροφορικής με δείκτη επιστημονικής ποιότητας (h-index) μεγαλύτερο ή ίσο του 40 [3]. Όπως προκύπτει από τον Πίνακα 1, η Ελλάδα βρίσκεται στην 20η θέση παγκοσμίως και στην 14η πανευρωπαϊκά ως προς τον αριθμό των κορυφαίων επιστημόνων πληροφορικής στον κόσμο, ενώ αν ληφθεί υπόψιν η αναλογία τους στο πληθυσμό της κάθε χώρας, η Ελλάδα βρίσκεται στην 15η θέση παγκοσμίως και στην 9η στην Ευρώπη. Στην Ελλάδα εργάζονται 57 κορυφαίοι Επιστήμονες πληροφορικής, όλοι με εθνικότητα Ελληνική, κάτι που στις υπόλοιπες χώρες με υψηλή οικονομική ανάπτυξη δε συμβαίνει, διότι προσελκύουν κορυφαίους επιστήμονες από το εξωτερικό.
Πίνακας 1. Οι 33 χώρες στο κόσμο με τουλάχιστον 10 κορυφαίους επιστήμονες πληροφορικής ταξινομημένες σύμφωνα με την πληθυσμιακή αναλογία των επιστημόνων.
Θέση | Χώρα | Κορυφαίοι Επιστήμονες Πληροφορικής | Πληθυσμός | Πληθυσμιακή Αναλογία Επιστημόνων ανά εκατομμύριο | Κατά κεφαλήν ΑΕΠ σε δολάρια ΗΠΑ |
1 | Hong Kong1 | 121 | 7.428.000 | 16,29 | 46.657 |
2 | Switzerland | 138 | 8.606.000 | 16,04 | 87.367 |
3 | Singapore | 88 | 5.686.000 | 15,48 | 59.795 |
4 | Israel | 120 | 9.214.000 | 13,02 | 44.181 |
5 | United States | 2782 | 329.770.000 | 8,44 | 63.358 |
6 | Belgium | 96 | 11.522.000 | 8,33 | 44.688 |
7 | Finland | 46 | 5.525.000 | 8,33 | 48.786 |
8 | Canada | 308 | 37.973.000 | 8,11 | 43.295 |
9 | Netherlands | 136 | 17.408.000 | 7,81 | 52.456 |
10 | Australia | 198 | 25.694.000 | 7,71 | 52.905 |
11 | Austria | 61 | 8.901.000 | 6,85 | 48.593 |
12 | Sweden | 68 | 10.379.000 | 6,55 | 52.129 |
13 | Denmark | 38 | 5.823.000 | 6,53 | 61.154 |
14 | United Kingdom | 416 | 67.081.000 | 6,20 | 40.394 |
15 | Greece | 57 | 10.719.000 | 5,32 | 17.657 |
16 | Ireland | 22 | 4.994.000 | 4,41 | 85.206 |
17 | Qatar | 11 | 2.684.000 | 4,10 | 54.185 |
18 | Germany | 333 | 83.161.000 | 4,00 | 46.216 |
19 | Norway | 21 | 5.385.000 | 3,90 | 67.326 |
20 | Italy | 208 | 59.641.000 | 3,49 | 31.604 |
21 | France | 174 | 65.124.000 | 2,67 | 40.299 |
22 | New Zealand | 13 | 5.087.000 | 2,56 | 41.165 |
23 | Spain | 110 | 47.111.000 | 2,33 | 27.179 |
24 | Portugal | 24 | 10.310.000 | 2,33 | 22.149 |
25 | Taiwan | 42 | 23.561.000 | 1,78 | 28.358 |
26 | South Korea | 59 | 51.781.000 | 1,14 | 31.638 |
27 | Czech Republic | 10 | 10.694.000 | 0,94 | 22.943 |
28 | Japan | 101 | 125.849.000 | 0,80 | 40.089 |
29 | Saudi Arabia | 22 | 35.013.000 | 0,63 | 19.996 |
30 | China | 294 | 1.414.350.000 | 0,21 | 10.511 |
31 | Brazil | 33 | 211.756.000 | 0,16 | 6.823 |
32 | Iran | 13 | 84.139.000 | 0,15 | 9.928 |
33 | India | 44 | 1.378.600.000 | 0,03 | 1.930 |
1 Το Hong Kong αποτελεί ειδική διοικητική περιοχή της Λαϊκής Δημοκρατίας της Κίνας.
Σχήμα 1. Γεωγραφική κατανομή των 33 χωρών με τουλάχιστον 10 κορυφαίους επιστήμονες πληροφορικής σύμφωνα με τον Πίνακα 1. Τα χρώματα συνδέονται με τον αριθμό των κορυφαίων επιστημόνων πληροφορικής σε κάθε χώρα.

Αποτέλεσμα της μικρότερης οικονομικής ανάπτυξης της Ελλάδας σε σχέση με τις υπόλοιπες χώρες είναι ένας αρκετά μεγάλος αριθμός από Έλληνες επιστήμονες να έχει μεταναστεύσει στο εξωτερικό (Brain-Drain) όπου εργάζεται συνήθως με πολύ υψηλότερες αποδοχές και σε σταθερότερο ακαδημαϊκό περιβάλλον. Σύμφωνα με εργασία του διακεκριμένου Έλληνα Καθηγητή κ. Ι. Ιωαννίδη [4] από το Πανεπιστήμιο Stanford των ΗΠΑ υπάρχουν συνολικά 63.951 Έλληνες επιστήμονες που έχουν δημοσιεύσει τουλάχιστον 5 άρθρα που περιλαμβάνονται στην επιστημονική βάση Scopus, από τους οποίους εργάζονται στην Ελλάδα το 55%, ενώ το 45% εργάζεται στο εξωτερικό.
Συνδυάζοντας τη βάση δεδομένων με τους Έλληνες επιστήμονες του εξωτερικού από την εργασία του κ. Ιωαννίδη με τη βάση Research.com, εντοπίστηκαν 114 κορυφαίοι Έλληνες επιστήμονες που εργάζονται στο εξωτερικό στο πεδίο της πληροφορικής. Ο αριθμός αυτός είναι διπλάσιος από τον αριθμό των κορυφαίων επιστημόνων που εργάζονται στη χώρα μας. Αν αθροίσουμε συνολικά τους Έλληνες που εργάζονται στο εξωτερικό και στο εσωτερικό (Greeks), τότε η Ελλάδα θα βρισκόταν στην τρίτη θέση παγκοσμίως και στη δεύτερη θέση στην Ευρώπη σε αναλογία επιστημόνων ανά εκατομμύριο πληθυσμού φτάνοντας τους 15,95 κορυφαίους επιστήμονες ανά εκατομμύριο πληθυσμού, με ελάχιστη διαφορά από το Χονγκ Κονγκ και την Ελβετία.
Σχήμα 2. Το κατά κεφαλήν ΑΕΠ (GDP per capita) με αναλογία επιστημόνων στον πληθυσμό (PRS) για τις 33 χώρες του κόσμου που εμφανίζουν περισσότερους από 10 επιστήμονες και η θέση των Ελλήνων. Το προσαρμοσμένο γραμμικό μοντέλο απεικονίζεται επίσης μέσω μιας κόκκινης γραμμής.

Σχήμα 3. Το κατά κεφαλήν ΑΕΠ (GDP per capita) με την αναλογία επιστημόνων στον πληθυσμό (PRS) για τις χώρες της Ευρώπης που δείχνουν περισσότερους από 10 επιστήμονες και τη θέση των Ελλήνων. Το προσαρμοσμένο γραμμικό μοντέλο απεικονίζεται επίσης μέσω μιας κόκκινης γραμμής.

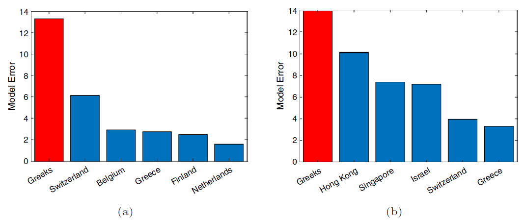
Σχήμα 4. Οι Έλληνες και οι χώρες με το μεγαλύτερο σφάλμα μεταξύ του PRS (αναλογία επιστημόνων στον πληθυσμό) και του προσαρμοσμένου γραμμικού μοντέλου σύμφωνα με τα (a) ευρωπαϊκά δεδομένα και τα (b) παγκόσμια δεδομένα.

Το κατα κεφαλήν εισόδημα κάθε χώρας μαζί με την αναλογία επιστημόνων στον πληθυσμό της αποτυπώνονται στα Σχήματα 2 και 3 σε Ευρωπαϊκό και Παγκόσμιο επίπεδο, αντίστοιχα. Στα Σχήματα αυτά φαίνεται η Ελλάδα να αποτελεί τη χώρα εξαίρεση με τη μικρότερη οικονομική ανάπτυξη και ταυτόχρονα με το μεγαλύτερο πλήθος σε κορυφαίους επιστήμονες αν προσθέταμε και τους Έλληνες του εξωτερικού. Το γεγονός αυτό αποτυπώνεται και στο Σχήμα 4 όπου οι Έλληνες εμφανίζουν με διαφορά το μεγαλύτερο σφάλμα μεταξύ της αναλογίας πληθυσμού των επιστημόνων (PRS) και του προσαρμοσμένου γραμμικού μοντέλου σύμφωνα με τα (a) ευρωπαϊκά δεδομένα και (b) παγκόσμια δεδομένα που εμφανίζονται στα Σχήματα 2 και 3. Το γραμμικό μοντέλο δείχνει πως η Ελλάδα αναμένεται να είχε 21 κορυφαίους επιστήμονες πληροφορικής σύμφωνα με το κατά κεφαλήν ΑΕΠ της χώρας, ενώ η χώρα διαθέτει σχεδόν τριπλάσιους από το αναμενόμενο (57) και 8 φορές περισσότερους λαμβάνοντας υπόψην και τους Έλληνες του εξωτερικού (σύνολο 171). Αντίθετα, οι Ηνωμένες Πολιτείες, δηλαδή η χώρα με τον μεγαλύτερο αριθμό Κορυφαίων Επιστημόνων Υπολογιστών (το 44,1% παγκοσμίως), ανήκουν στο σύνολο των χωρών, όπου το PRS σχεδόν συμφωνεί με την αναμενόμενη τιμή του προσαρμοσμένου γραμμικού μοντέλου λόγω και του υψηλού κατά κεφαλήν ΑΕΠ της χώρας.
Συμπερασματικά, σε αυτή την εργασία αναλύσαμε τη λίστα των κορυφαίων επιστημόνων και τοποθετήσαμε μια συγκεκριμένη χώρα (την Ελλάδα) στον ακαδημαϊκό παγκόσμιο χάρτη, λαμβάνοντας υπόψη όχι μόνο τις τυπικές ακαδημαϊκές μετρήσεις, αλλά και αρκετά δημογραφικά δεδομένα, όπως π.χ. το βιοτικό επίπεδο κάθε χώρας και το επιστημονικό προσωπικό που έχει μεταναστεύσει στο εξωτερικό.
Τα αποτελέσματα υποδηλώνουν ότι η κατάταξη μιας χώρας όπως η Ελλάδα αλλάζει σημαντικά όταν ληφθεί υπόψη το επιστημονικό προσωπικό που έχει μεταναστεύσει στο εξωτερικό (δηλαδή, το brain-drain). Δεδομένου ότι οι “μετανάστες επιστήμονες” δύναται να επιστρέψουν στην πατρίδα τους, πιστεύουμε ότι οι κυβερνήσεις και οι επιχειρήσεις οφείλουν να δημιουργούν κατάλληλες συνθήκες και κίνητρα για τον επαναπατρισμό τους, που στην περίπτωση της Ελλάδας θα πολλαπλασίαζε το επιστημονικό της δυναμικό.
Βιβλιογραφία
[1] G. Vasiliadis, C. Panagiotakis, I. Stenaki and J. Fanourgiakis, The Impact of Brain-drain in Country Ranking: The case of Computer Science, Scientometrics, 2022. https://doi.org/10.1007/s11192-022-04613-1
[2] Κωνσταντίνος Παναγιωτάκης, Ηλιάνα Στενάκη και Ιωάννης Φανουργιάκης. Διάκριση των Ελλήνων στους Κορυφαίους Επιστήμονες Πληροφορικής, 2021. https://mst.hmu.gr/diakrisi-ton-ellinon-stoys-koryfaioys-epistimones-pliroforikis/
[3] Hirsch, Jorge E. "An index to quantify an individual's scientific research output." Proceedings of the National academy of Sciences 102.46 (2005): 16569-16572.
[4] Ioannidis, John, et al. "Comprehensive mapping of local and diaspora scientists: a database and analysis of 63951 Greek scientists." Quantitative Science Studies (2021): 1-28.
Η έρευνα του ΕΛΜΕΠΑ ΕΔΩ
Όλες οι σημαντικές και έκτακτες ειδήσεις σήμερα
Νέο Προσκλητήριο Προσλήψεων Εκπαιδευτών Ενηλίκων: Αφορά όλα τα πτυχία ΑΕΙ-ΤΕΙ - Πιστοποιηθείτε άμεσα
Παν.Πατρών: Tο 1ο στην Ελλάδα Πανεπιστημιακό Πιστοποιητικό ΤΕΧΝΗΤΗΣ ΝΟΗΜΟΣΥΝΗΣ για εκπαιδευτικούς
Πανεπιστήμιο Αιγαίου: Το κορυφαίο πρόγραμμα ειδικής αγωγής στην Ελλάδα - Αιτήσεις έως 14/9
Μοριοδοτούμενο σεμινάριο Ειδικής Αγωγής Πανεπιστημίου Πατρών με μόνο 60 ευρώ
Νίκος Μάστορας