Τη διεύρυνση του Δικτύου Σχολικών Βιβλιοθηκών στην Πρωτοβάθμια Εκπαίδευση ενέκρινε η υπουργός Παιδείας, Σοφία Ζαχαράκη, με νέα απόφαση που τίθεται σε εφαρμογή από το σχολικό έτος 2025-2026.
Με την υπογραφή της απόφασης, 180 δημοτικά σχολεία εντάσσονται πλέον επίσημα στο Σύστημα Δικτύου Σχολικών Βιβλιοθηκών, ενισχύοντας την εκπαιδευτική καθημερινότητα χιλιάδων μαθητών με πρόσβαση σε οργανωμένους χώρους μάθησης, μελέτης και φιλαναγνωσίας.
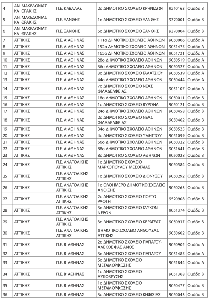
Οι σχολικές μονάδες που εντάσσονται στο πρόγραμμα παρουσιάζονται αναλυτικά στον πίνακα που ακολουθεί, όπως προβλέπεται στην απόφαση.
Δείτε εδώ αναλυτικά το ΦΕΚ.







Όλες οι σημαντικές και έκτακτες ειδήσεις σήμερα
Νέο Προσκλητήριο Προσλήψεων Εκπαιδευτών Ενηλίκων: Αφορά όλα τα πτυχία ΑΕΙ-ΤΕΙ - Πιστοποιηθείτε άμεσα
Παν.Πατρών: Tο 1ο στην Ελλάδα Πανεπιστημιακό Πιστοποιητικό ΤΕΧΝΗΤΗΣ ΝΟΗΜΟΣΥΝΗΣ για εκπαιδευτικούς
Πανεπιστήμιο Αιγαίου: Το κορυφαίο πρόγραμμα ειδικής αγωγής στην Ελλάδα - Αιτήσεις έως 14/9
Μοριοδοτούμενο σεμινάριο Ειδικής Αγωγής Πανεπιστημίου Πατρών με μόνο 60 ευρώ
Νίκος Μακρής