ΑΝΕΞΑΡΤΗΤΗ ΚΙΝΗΣΗ ΕΚΠΑΙΔΕΥΤΙΚΩΝ Π.Ε. Ν.ΛΑΚΩΝΙΑΣ:
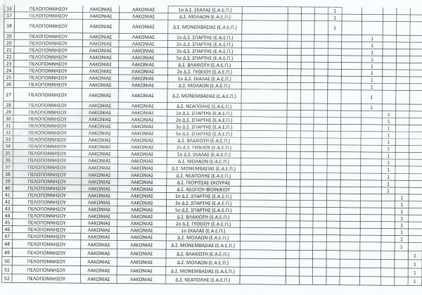
Σας γνωστοποιούμε τις οργανικές θέσεις ανά κλάδο εκπαιδευτικών που συστάθηκαν και κατανεμήθηκαν από τη Διεύθυνση ΠΕ Λακωνίας
και διαβιβάστηκαν στην Περιφερειακή Διεύθυνση ΠΕ & ΔΕ Πελοποννήσου χωρίς να συνεδριάσει το ΠΥΣΠΕ Λακωνίας.



Όλες οι σημαντικές και έκτακτες ειδήσεις σήμερα
Νέο Προσκλητήριο Προσλήψεων Εκπαιδευτών Ενηλίκων: Αφορά όλα τα πτυχία ΑΕΙ-ΤΕΙ - Πιστοποιηθείτε άμεσα
Παν.Πατρών: Tο 1ο στην Ελλάδα Πανεπιστημιακό Πιστοποιητικό ΤΕΧΝΗΤΗΣ ΝΟΗΜΟΣΥΝΗΣ για εκπαιδευτικούς
Πανεπιστήμιο Αιγαίου: Το κορυφαίο πρόγραμμα ειδικής αγωγής στην Ελλάδα - Αιτήσεις έως 14/9
Μοριοδοτούμενο σεμινάριο Ειδικής Αγωγής Πανεπιστημίου Πατρών με μόνο 60 ευρώ
Alfavita Newsroom