ΕΛΛΗΝΙΚΗ ΜΑΘΗΜΑΤΙΚΗ ΕΤΑΙΡΕΙΑ
Πανεπιστημίου (Ελευθερίου Βενιζέλου) 34
106 79 ΑΘΗΝΑ
Τηλ. 3616532 - 3617784 - Fax: 3641025
info@hms.gr
www.hms.gr
Μετά την ανακοίνωση της εξεταστέας ύλης για τις εισαγωγικές εξετάσεις 2015-16 στα Μαθηματικά Ομάδας Προσανατολισμού Θετικών Σπουδών και Σπουδών Οικονομίας & Πληροφορικής και πολλά ερωτήματα συναδέλφων μας, γονέων και μαθητών, επισημαίνουμε τα εξής:
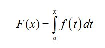
Α. Είναι προφανές ότι η συνάρτηση 
(παρ. 3.5 σχολικού βιβλίου) είναι συνεχής.
Β. Είναι εκτός ύλης μόνο οι ασκήσεις που αναφέρονται στην παραγώγιση αυτής της συνάρτησης.
Για το Διοικητικό Συμβούλιο
της Ελληνικής Μαθηματικής Εταιρείας
Ο Πρόεδρος Νικόλαος Αλεξανδρής Ομότιμος Καθηγητής Πανεπιστημίου Πειραιά | Ο Γενικός Γραμματέας Ιωάννης Τυρλής Καθηγητής Δευτεροβάθμιας Εκπαίδευσης |
Όλες οι σημαντικές και έκτακτες ειδήσεις σήμερα
Νέο Προσκλητήριο Προσλήψεων Εκπαιδευτών Ενηλίκων: Αφορά όλα τα πτυχία ΑΕΙ-ΤΕΙ - Πιστοποιηθείτε άμεσα
Παν.Πατρών: Tο 1ο στην Ελλάδα Πανεπιστημιακό Πιστοποιητικό ΤΕΧΝΗΤΗΣ ΝΟΗΜΟΣΥΝΗΣ για εκπαιδευτικούς
Πανεπιστήμιο Αιγαίου: Το κορυφαίο πρόγραμμα ειδικής αγωγής στην Ελλάδα - Αιτήσεις έως 14/9
Μοριοδοτούμενο σεμινάριο Ειδικής Αγωγής Πανεπιστημίου Πατρών με μόνο 60 ευρώ
Alfavita Newsroom