Thumbnail
ΠΑΜΕ εκπαιδευτικών Πειραιά

ΠΑΜΕ εκπαιδευτικών Πειραιά

Η κυβέρνηση ΣΥΡΙΖΑ-ΑΝΕΛ χρησιμοποιεί όλα τα γνωστά μέσα που χρησιμοποίησαν Ν.Δ. και ΠΑΣΟΚ (την τρομοκρατία, τη θεωρία ότι δήθεν αποφεύγουμε τα χειρότερα, την πρακτική με τα ψίχουλα για την απόλυτη φτώχεια κ.ά.), προκειμένου να περάσει τα βαριά και βάρβαρα μέτρα του 3ου μνημονίου. Εκεί που υπερέχει ο ΣΥΡΙΖΑ είναι στη διγλωσσία, στην κοροϊδία περί παράλληλου προγράμματος και “φιλολαϊκής” εφαρμογής των μνημονίων και “σταδιακής” αλλαγής της Ε.Ε. (!). Πρόκειται για  κυβερνητική προπαγάνδα που αναπαράγεται και προωθείται από τα διαπλεκόμενα ΜΜΕ, όπως ότι με το Νέο Μισθολόγιο (Ν.Μ.) θ’ αυξηθούν οι μισθοί... Η πραγματικότητα είναι όμως τελείως διαφορετική.

ΓΙΑΤΙ Η ΚΥΒΕΡΝΗΣΗ ΨΗΦΙΣΕ ΝΕΟ ΜΙΣΘΟΛΟΓΙΟ;

Ας δούμε τί απαντάει η κυβέρνηση στο ερώτημα. Στην αιτιολογική έκθεση, που συνοδεύει το σχετικό νομοσχέδιο, προβάλλει σα βασικότερο λόγο για την ανάγκη να ψηφιστεί το νέο μισθολόγιο το γεγονός ότι το υφιστάμενο Παλιό Μισθολόγιο (Π.Μ.) του Ν.4024/2011 «..ουσιαστικά δεν εφαρμόστηκε ποτέ λόγω εγγενών προβλημάτων που περιγράφονται παρακάτω». Στη συνέχεια συμπληρώνει ότι «...μέχρι σήμερα δεν έχουν γίνει οι εκ του νόμου προβλεπόμενες προαγωγές». Σε άλλο σημείο αναφέρεται στην αξιολόγηση και στην έκδοση σχετικού Π.Δ. που προέβλεπε το Παλιό μισθολόγιο του Ν.4024/11: «Είναι σαφές ότι η μη έκδοση του εν λόγω Προεδρικού Διατάγματος αποτέλεσε έναν επιπλέον λόγο μη πλήρους εφαρμογής του Ν. 4024/11».

Το εύλογο ερώτημα που δε θέλει ν’ απαντήσει η κυβέρνηση ΣΥΡΙΖΑ είναι: γιατί δεν ξεπάγωσε για ΟΛΟΥΣ, μετά από 4 χρόνια πάγωμα, ως άμεσο μέτρο  μιας πολιτικής  αποκατάστασης των απωλειών, τη βαθμολογική και μισθολογική εξέλιξη  με το Π.Μ., χωρίς αξιολόγηση, χωρίς ποσοστώσεις και χωρίς τη μνημονιακή κατάταξη του άρθρου 28; Γιατί βέβαια τότε θα είχαμε μισθολογικό κόστος- μισθολογικές δαπάνες που θα ανέτρεπαν τη Δημοσιονομική προσαρμογή για την οποία έχει δεσμευτεί, έχει υπογράψει η κυβέρνηση στο πλαίσιο του 3ου μνημονίου.

Στην αιτιολογική της έκθεση για το νέο μισθολόγιο ομολογεί η κυβέρνηση ότι «..η μη ολοκληρωμένη εφαρμογή του μέχρι σήμερα υφιστάμενου Ενιαίου Βαθμολογίου - Μισθολογίου, ήδη μετά την παρέλευση τεσσάρων ετών, θα πρέπει να ιδωθεί υπό το πρίσμα των αναγκών της Δημοσιονομικής προσαρμογής που οδήγησαν στην υιοθέτηση διατάξεων, δυνάμει των οποίων ανεστάλη η εφαρμογή βασικών ρυθμίσεων του νόμου». Στη συνέχεια ομολογεί ότι η ψήφιση νέου μισθολογίου αποτελεί μνημονιακή δέσμευση: «Εξάλλου η ανάγκη επαναπροσέγγισης όλου του μισθολογικού καθεστώτος των υπαλλήλων του Δημοσίου, των ΟΤΑ, των ΝΠΔΔ και ΝΠΙΔ και των ΔΕΚΟ προκύπτει και από τη δέσμευση της Ελληνικής Κυβέρνησης έναντι των εταίρων της, στο πλαίσιο της νέας Μεσοπρόθεσμης Δημοσιονομικής Στρατηγικής» και «Το νέο σύστημα αμοιβών υπόκειται απολύτως στις αρχές: α) της δημοσιονομικής προσαρμογής, η τήρηση της οποίας έχει καταστεί ζωτικής σημασίας για την οικονομική και πολιτική επιβίωση της χώρας β)…». (Πρόκειται βέβαια για την επιβίωση του κεφαλαίου και της κερδοφορίας του).

Πιο ξεκάθαρα το λέει στην ομιλία του στη Βουλή ο αρμόδιος Υπουργός Οικονομικών Γ. Χουλιαράκης: «με το νέο βαθμολόγιο/μισθολόγιο των Δημοσίων υπαλλήλων, σε ορίζοντα 4ετίας εξοικονομούμε περίπου 600 εκατομμύρια ευρώ»!   Αυτή είναι η πραγματικότητα. Και το νέο μισθολόγιο ΣΥΡΙΖΑ, όπως και το παλιό Ν.Δ-ΠΑΣΟΚ, έχει στόχο τη μεγάλη μείωση της μισθολογικής δαπάνης (μείωση των μισθών δηλαδή). Η μέθοδος μόνο διαφέρει: το Παλιό μισθολόγιο, αφού μείωσε τους μισθούς από 4% -στα μεγαλύτερα έτη υπηρεσίας- έως 35% στους νεότερους σε υπηρεσία συναδέλφους (χωρίς να υπολογίζονται ο 13ος και ο 14ος μισθός), στη συνέχεια πάγωσε πλήρως κάθε  μισθολογική εξέλιξη για σημαντική κατηγορία εκπαιδευτικών. Το νέο μισθολόγιο, αφού διέγραψε 4 χρόνια μισθολογικών ωριμάνσεων του παλιού μισθολογίου, διαγράφει εντελώς 2 έτη υπηρεσίας από την προϋπηρεσία κάθε υπαλλήλου (1/1/16-31/12/17), παγώνει για όλους τη μισθολογική εξέλιξη για 2 (;) τουλάχιστο χρόνια και για 6-8 χρόνια (στην ουσία μέχρι τη σύνταξη) για σημαντική μερίδα εκπαιδευτικών. Είναι φανερό πως, όσο προχωράει η εφαρμογή του νέου μισθολογίου, θα μειώνονται οι μισθοί και η μισθολογική δαπάνη.

Ακόμη, σύμφωνα με το νέο μισθολόγιο, οι αποδοχές θα είναι «σε συνάρτηση με τις δεξιότητες, τις επιδόσεις και τις αρμοδιότητες και τη θέση του προσωπικού». Δηλαδή, για ν’ αυξήσει κανείς τις αποδοχές του, πέραν των όσων προβλέπει το μισθολόγιο-φτωχολόγιο, θα πρέπει να έχει Μεταπτυχιακό-Διδακτορικό ή ν’ αξιολογηθεί με άριστα  («προωθημένη μισθολογική εξέλιξη») ή να κατέχει στελεχική-διοικητική θέση (είναι χαρακτηριστικό ότι οι αποδοχές των Περιφερειακών Διευθυντών Εκπαίδευσης και των αποσπασμένων-συμβούλων σε Υπουργικά και άλλα Κυβερνητικά γραφεία αυξάνονται σημαντικά).

Γι’ αυτό λέμε όχι στο νέο μισθολόγιο-φτωχολόγιο και διεκδικούμε κάλυψη των απωλειών για όλους.

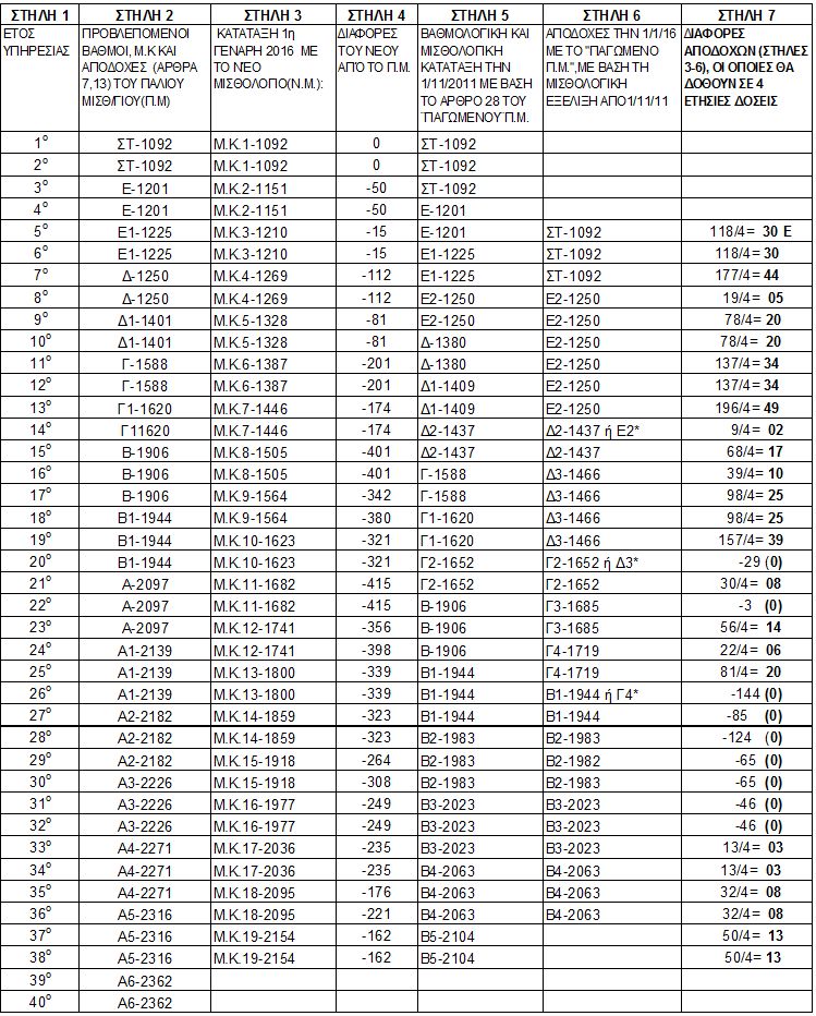
ΑΝΑΛΥΤΙΚΑ ΣΤΟΙΧΕΙΑ ΣΤΟΝ ΠΑΡΑΚΑΤΩ ΠΙΝΑΚΑ

 

 

ΣΗΜΕΙΩΣΕΙΣ ΚΑΙ ΔΙΕΥΚΡΙΝΙΣΕΙΣ:

1. Όλα τα ποσά αφορούν μικτές αποδοχές, δηλαδή χωρίς τις κρατήσεις οι οποίες είναι συνολικά γύρω στο 29%.

2. Στη ΣΤΗΛΗ 2 για την προαγωγή από βαθμό σε βαθμό (εκτός από την προαγωγή από τον ΣΤ΄ στον Ε΄βαθμό) είχε τεθεί ποσόστωση και αξιολόγηση, τα οποία δεν κατάργησε η Κυβέρνηση ΣΥΡΙΖΑ.

3. Στη ΣΤΗΛΗ 4 φαίνεται ότι  η Κυβέρνηση ψήφισε το νέο μισθολόγιο για να μειώσει παραπέρα τις μισθολογικές δαπάνες και τους μισθούς ( κυρίως στην πορεία).

4. Για τη ΣΤΗΛΗ 6: Το αστεράκι * αφορά περιπτώσεις εκπαιδευτικών που την 1/11/2011 ( με το Ν.Μ. η κατάταξη γίνεται  1/1/16) δεν κατατάχτηκαν στον επόμενο βαθμό για 1 μέρα έως 2 μήνες.

5. Για τη ΣΤΗΛΗ 7: Η όποια αύξηση θα εξανεμιστεί στην πορεία, αφού οι αντίστοιχοι μισθοί του Ν.Μ., όσο ανεβαίνει κανείς Μ.Κ,., είναι  μικρότεροι και λόγω του ότι τα 2 χρόνια (2016-2017) δε μετράνε σαν υπηρεσία (!) στερώντας έτσι 1 Μ.Κ.( 59 € το μήνα από τον κάθε υπάλληλο!  Στην περίπτωση μειώσεων παραμένει ως προσωπική διαφορά μέχρι να αποσβεστεί. Π.χ. εκπ/κός με 26 έτη υπηρεσίας θα πάρει (;) αύξηση 33 €  μετά από 6 χρόνια!                                      

Όλες οι σημαντικές και έκτακτες ειδήσεις σήμερα

Νέο Προσκλητήριο Προσλήψεων Εκπαιδευτών Ενηλίκων: Αφορά όλα τα πτυχία ΑΕΙ-ΤΕΙ - Πιστοποιηθείτε άμεσα

ΕΥΚΟΛΕΣ πιστοποιήσεις ΙΣΠΑΝΙΚΩΝ - ΙΤΑΛΙΚΩΝ για ΑΣΕΠ για Εκπαιδευτικούς - Πάρτε τις ΑΜΕΣΑ μόρια 2ης ξένης γλώσσας

Παν.Πατρών: Tο 1ο στην Ελλάδα Πανεπιστημιακό Πιστοποιητικό ΤΕΧΝΗΤΗΣ ΝΟΗΜΟΣΥΝΗΣ για εκπαιδευτικούς

Πανεπιστήμιο Αιγαίου: Το κορυφαίο πρόγραμμα ειδικής αγωγής στην Ελλάδα - Αιτήσεις έως 14/9

Μοριοδοτούμενο σεμινάριο Ειδικής Αγωγής Πανεπιστημίου Πατρών με μόνο 60 ευρώ 

Google news logo Ακολουθήστε το Alfavita στo Google News Viber logo Ακολουθήστε το Alfavita στo Viber

σχετικά άρθρα

καφές
Ποια φάρμακα δεν πρέπει ποτέ να τα καταναλώνεις με καφέ
Eίναι σημαντικό να γνωρίζετε ποια φάρμακα δεν πρέπει να συνδυάζονται με καφέ, ώστε να αποφύγετε κινδύνους και να εξασφαλίσετε την καλύτερη δυνατή...
Ποια φάρμακα δεν πρέπει ποτέ να τα καταναλώνεις με καφέ
28h_oktovriou
«Κόβονται» οι απουσίες στη γιορτή της 28ης Οκτωβρίου – Τι ισχύει για τους μαθητές
Το Υπουργείο Παιδείας ξεκαθαρίζει πως η παρουσία των μαθητών στις εορταστικές εκδηλώσεις είναι υποχρεωτική
«Κόβονται» οι απουσίες στη γιορτή της 28ης Οκτωβρίου – Τι ισχύει για τους μαθητές