Η Υπ. Παιδείας Νίκη Κεραμέως υπέγραψε απόφαση μεταθέσεων στη Πρωτοβάθμια εκπαίδευση για το έτος 2019-2020. Δείτε τους πίνακες με αναλυτικά τα ονόματα.
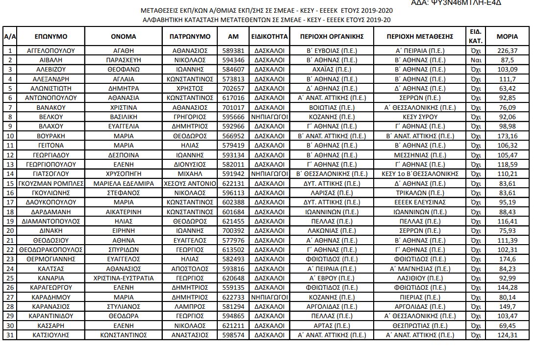
Μεταθέσεις Εκπαιδευτικών Πρωτοβάθμιας Εκπαίδευσης σε Σχολικές Μονάδες Ειδικής Αγωγής και Εκπαίδευσης (Σ.Μ.Ε.Α.Ε), σε Σχολεία Κωφών-Τυφλών, σε Κέντρα Εκπαιδευτικής και Συμβουλευτικής Υποστήριξης (Κ.Ε.Σ.Υ.) και Ε.Ε.Ε.Ε.Κ. έτους 2020
Α π ο φ α σ ί ζ ο υ μ ε
1. Μεταθέτουμε τους εκπαιδευτικούς λειτουργούς Α/θμιας Εκπαίδευσης που αναφέρονται στις συνοδευτικές καταστάσεις, οι οποίες αποτελούν αναπόσπαστο μέρος της απόφασης αυτής, με αίτησή τους και χωρίς δαπάνη του δημοσίου, σε Σ.Μ.Ε.Α.Ε., Σχολεία Κωφών-Τυφλών ,Ε.Ε.Ε.Ε.Κ. και Κ.Ε.Σ.Υ.
2. Οι μετατιθέμενοι παρουσιάζονται στη Διεύθυνση Πρωτοβάθμιας Εκπαίδευσης, στην οποία υπάγεται η περιοχή μετάθεσής τους, με τη λήξη του διδακτικού έτους .
3. Οι μετατιθέμενοι σε Ε.Ε.Ε.Ε.Κ. παρουσιάζονται με τη λήξη του διδακτικού έτους.
4. Οι μετατιθέμενοι από τα Κ.Ε.Σ.Υ. σε σχολικές μονάδες ή από Κ.Ε.Σ.Υ. σε Κ.Ε.Σ.Υ. παραμένουν στη θέση τους μέχρι τη λήξη του σχολικού έτους και αναλαμβάνουν υπηρεσία στη νέα τους θέση με την έναρξη του νέου διδακτικού έτους.
5. Οι εκπαιδευτικοί που υπέβαλαν αίτηση μετάθεσης και δεν ικανοποιήθηκε, δεν μετατίθενται είτε διότι δεν υπήρχαν κενές οργανικές θέσεις είτε διότι υπολείπονται των μονάδων μετάθεσης αυτών που μετατίθενται.

Δείτε το έγγραφο αναλυτικά εδώ
Όλες οι σημαντικές και έκτακτες ειδήσεις σήμερα
Νέο Προσκλητήριο Προσλήψεων Εκπαιδευτών Ενηλίκων: Αφορά όλα τα πτυχία ΑΕΙ-ΤΕΙ - Πιστοποιηθείτε άμεσα
Παν.Πατρών: Tο 1ο στην Ελλάδα Πανεπιστημιακό Πιστοποιητικό ΤΕΧΝΗΤΗΣ ΝΟΗΜΟΣΥΝΗΣ για εκπαιδευτικούς
Πανεπιστήμιο Αιγαίου: Το κορυφαίο πρόγραμμα ειδικής αγωγής στην Ελλάδα - Αιτήσεις έως 14/9
Μοριοδοτούμενο σεμινάριο Ειδικής Αγωγής Πανεπιστημίου Πατρών με μόνο 60 ευρώ
Alfavita Newsroom