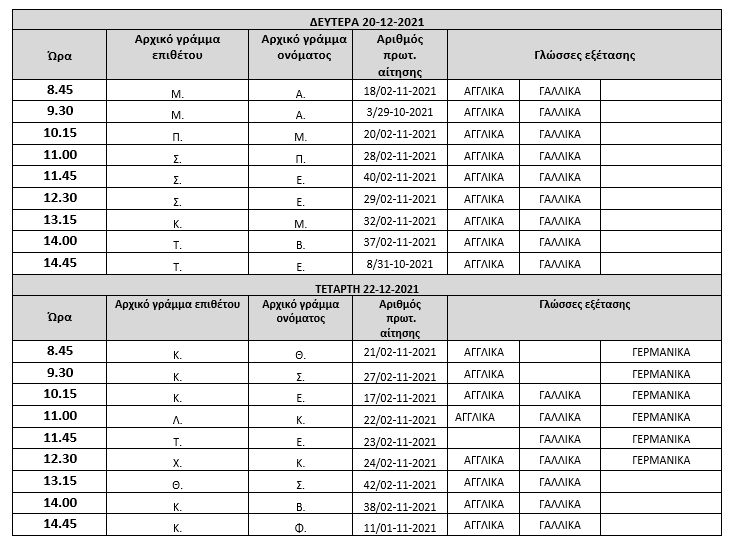
Η Επιτροπή αξιολόγησης και μοριοδότησης για τα Ευρωπαϊκά Σχολεία ανακοινώνει ότι οι συνεντεύξεις των υποψήφιων για την θέση Διευθυντή Δευτεροβάθμιου Κύκλου στο Ευρωπαϊκό Σχολείο Bρυξέλλες Ι, βάσει της αριθμ. 132942/Η2/19-10-2021 (Α.Δ.Α.: 99ΙΕ46ΜΤΛΗ-ΜΞΠ) πρόσκλησης ενδιαφέροντος, θα πραγματοποιηθούν διαδικτυακά, τη Δευτέρα 20 Δεκεμβρίου 2021 και την Τετάρτη 22 Δεκεμβρίου 2021.
Το χρονοδιάγραμμα των συνεντεύξεων έχει ως εξής:

Όλες οι σημαντικές και έκτακτες ειδήσεις σήμερα
Νέο Προσκλητήριο Προσλήψεων Εκπαιδευτών Ενηλίκων: Αφορά όλα τα πτυχία ΑΕΙ-ΤΕΙ - Πιστοποιηθείτε άμεσα
Παν.Πατρών: Tο 1ο στην Ελλάδα Πανεπιστημιακό Πιστοποιητικό ΤΕΧΝΗΤΗΣ ΝΟΗΜΟΣΥΝΗΣ για εκπαιδευτικούς
Πανεπιστήμιο Αιγαίου: Το κορυφαίο πρόγραμμα ειδικής αγωγής στην Ελλάδα - Αιτήσεις έως 14/9
Μοριοδοτούμενο σεμινάριο Ειδικής Αγωγής Πανεπιστημίου Πατρών με μόνο 60 ευρώ
Alfavita Newsroom