Δημοσιεύτηκε η απόφαση με την κύρωση του αξιολογικού πίνακα υποψηφίων εκπαιδευτικών κλάδου ΠΕ07 Γερμανικής για απόσπαση στο Ευρωπαϊκό Σχολείο Λουξεμβούργο Ι (Αρ.Πρόσκλησης 32097/Η2/22-3-2022).
Πιο αναλυτικά αναφέρεται:
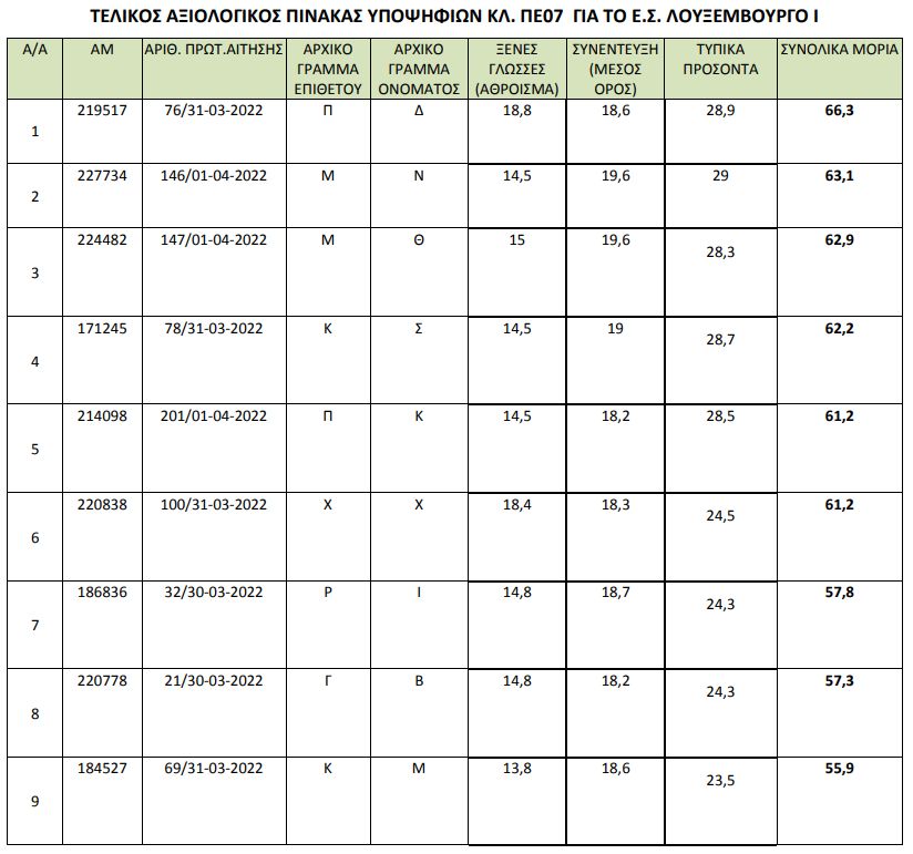
Κυρώνουμε τον πίνακα υποψηφίων για απόσπαση στο Ευρωπαϊκό Σχολείο Λουξεμβούργο Ι εκπαιδευτικών κλάδου ΠΕ07 Γερμανικής που καταρτίσθηκε με την αριθμ. 21/29-7 2022 Πράξη της Επιτροπής αξιολόγησης και μοριοδότησης του προς απόσπαση στα Ευρωπαϊκά Σχολεία εκπαιδευτικού και εποπτικού προσωπικού και Στελεχών, ως ακολούθως:

Ολόκληρη η απόφαση εδώ
Όλες οι σημαντικές και έκτακτες ειδήσεις σήμερα
Νέο Προσκλητήριο Προσλήψεων Εκπαιδευτών Ενηλίκων: Αφορά όλα τα πτυχία ΑΕΙ-ΤΕΙ - Πιστοποιηθείτε άμεσα
Παν.Πατρών: Tο 1ο στην Ελλάδα Πανεπιστημιακό Πιστοποιητικό ΤΕΧΝΗΤΗΣ ΝΟΗΜΟΣΥΝΗΣ για εκπαιδευτικούς
Πανεπιστήμιο Αιγαίου: Το κορυφαίο πρόγραμμα ειδικής αγωγής στην Ελλάδα - Αιτήσεις έως 14/9
Μοριοδοτούμενο σεμινάριο Ειδικής Αγωγής Πανεπιστημίου Πατρών με μόνο 60 ευρώ
Alfavita Newsroom