Μπορεί να έχει άραγε το Σύμπαν κάποια θεμελιώδη δομή που μπορεί να ανακαλυφθεί μέσω μοναδικών αριθμών;
Το 137 είναι ο φυσικός αριθμός που εκτός του ότι αποτελεί πρώτο αριθμό (δηλαδή, μόνοι διαιρέτες του είναι η μονάδα και ο εαυτός του), θεωρείται σημαντικός αριθμός στο πεδίο της Φυσικής καθώς έχει συσχετιστεί με διάφορες παρατηρήσεις και μετρήσεις βασικών αρχών και σωματιδίων.
Μεγάλοι επιστήμονες όπως οι Arthur Eddington, Leon M. Lederman, Richard Feynman, Wolfgang Pauli και άλλοι, είχαν αναγνωρίσει τη σημασία και τη μυστηριώδη ύπαρξη του αριθμού αυτού. Ο αριθμός 137 εμφανίζεται σε σημαντικές εξισώσεις της κβαντικής Φυσικής, και ο νομπελίστας Wolfgang Pauli είχε ασχοληθεί εκτεταμένα για να καταλάβει τον αριθμό αυτό και γιατί εμφανίζεται τόσο συχνά.
Από τις αρχές της δεκαετίας του 1900, οι φυσικοί υπέθεταν ότι ο αριθμός 137 αποτελεί τον κεντρικό πυρήνα της Θεωρίας της Μεγάλης Ενοποίησης που σχετίζεται και ενοποιεί τις θεωρίες του ηλεκτρομαγνητισμού, της κβαντικής μηχανικής και της βαρύτητας.
Συγκεκριμένα το 137 εμφανίζεται στη λεγόμενη, Σταθερά της Λεπτής Υφής (αγγλικά: Fine Structure Constant) η οποία είναι μια θεμελιώδης, αδιάστατη φυσική σταθερά, με μια τιμή που σχεδόν ισοδυναμεί με 1/137 ή για την ακρίβεια 1 / 137.03599913. Η σταθερά αυτή χαρακτηρίζει την δύναμη της ηλεκτρομαγνητικές αλληλεπίδρασης και συμβολίζεται από το ελληνικό γράμμα άλφα – α.
O Wolfgang Pauli είχε πει χαριτολογώντας: “Όταν θα πεθάνω, η πρώτη μου ερώτηση στο διάβολο θα είναι: Ποια είναι η σημασία της σταθεράς της λεπτής υφής;″
Στο ατομικό πρότυπο του Bohr και στην εξίσωση Dirac, το πλέον εσωτερικό ηλεκτρόνιο ενός ατόμου, με ατομικό αριθμό 137 υπολογίζεται ότι θα προσεγγίζει την ταχύτητα του φωτός, ενώ είναι αδύνατο να υπάρξει άτομο με ατομικό αριθμό 138 ή μεγαλύτερο από το 137. Ο διάσημος φυσικός Richard Feynman είχε πει κάποτε για το 137 “υπάρχει ένας περίεργος αριθμός για τον οποίο όλοι οι φυσικοί αξίζει να «ανησυχούν”. Τον αποκαλούσε ”ένα από τα μεγαλύτερα μυστήρια της φυσικής: ένα “μαγικό” αριθμό που δεν μπορεί να κατανοηθεί από τον άνθρωπο”. Είχε πεί ακόμα, πως “όλοι οι φυσικοί θα πρέπει να βάλουν πινακίδα στα γραφεία τους με τον αριθμό 137 μόνο και μόνο για τους θυμίζει πόσα είναι αυτά που δεν γνωρίζουν ακόμα.”...
Αυτό που καθιστά τον αριθμό 137 πολύ ιδιαίτερο είναι ότι θεωρείται ένα άριστο παράδειγμα ενός καθαρού, πρώτου αριθμού που με έναν κομψό και σχεδόν μαγικό τρόπο συνδυάζει τις τρεις βασικές αρχές των θεμελιωδών σταθερών της Φύσης:
1) την ταχύτητα του φωτός (c),
2) του ηλεκτρικού φορτίου του ηλεκτρονίου (e), και
3) τη σταθερά του Planck (h).
Ο αριθμός αυτός δηλαδή εμφανίζονται στη διασταύρωση των θεμελιωδών πεδίων της Φυσικής δηλ. της Σχετικότητας, του Ηλεκτρομαγνητισμού και της Κβαντικής μηχανικής και είναι αυτό το γεγονός που τον κάνει ένα μυστηριώδη και γοητευτικό αριθμό κάνοντας τους φυσικούς να αναρωτιούνται: Γιατί η Φύση επιμένει σε αυτόν τον αριθμό;
Αξίζει να σημειώσω ότι ο αριθμός 137 εμφανίζεται εκτός της Φυσικής, στα Μαθηματικά, στις Θρησκείες, στον Εσωτερισμό, στη Μουσική και αλλού. Μέχρι στιγμής δεν υπάρχει καμία εξήγηση γιατί το 137 εμφανίζεται τόσο συχνά ως σταθερά σε υπολογισμούς της φυσικής, μαθηματικών και αλλού.
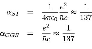
Για αυτούς που θέλουν να ξέρουν περισσότερες λεπτομέρειες, ο τρόπος που κανείς μπορεί να υπολογίσει μαθηματικά το άλφα (δηλ. την σταθερά της λεπτής υφής, α) δεν έχει παρά να βάλει μαζί τις 3 σταθερές c (ταχύτητα του φωτός), h (σταθερά του Planck) και e (το θεμελιώδες φορτίο του ηλεκτρονίου) στην εξίσωση:

Οι μονάδες μέτρησης των c, e και h απαλείφονται και ο ”καθαρός”, αδιάστατος αριθμός που μένει είναι: 137.03599913. Βέβαια για ιστορικούς λόγους στη Φυσική χρησιμοποιείται ο αντίστροφος μαθηματικός λόγος, δηλαδή: 2πe^2 / hc = 1 / 137.03599913 ο οποίος ισούται με την τιμή 0.007297351.
Είναι ενδιαφέρον εδώ να αναφέρω ότι ο φυσικός Laurence Eaves, καθηγητής στο Πανεπιστήμιο του Nottingham, πιστεύει, ότι ο αριθμός 137 πρέπει να είναι ένα από τα πράγματα που θα έπρεπε να αναφέρονται σε πιθανή επαφή μας με εξωγήινους πολιτισμούς, αποδεικνύοντας έτσι την επιστημονική μας πρόοδο ως προς την κατανόηση του πλανήτη, της θέσης μας στο σύμπαν και της γνώσης μας στην κβαντική μηχανική.
Όλες οι σημαντικές και έκτακτες ειδήσεις σήμερα
Νέο Προσκλητήριο Προσλήψεων Εκπαιδευτών Ενηλίκων: Αφορά όλα τα πτυχία ΑΕΙ-ΤΕΙ - Πιστοποιηθείτε άμεσα
Παν.Πατρών: Tο 1ο στην Ελλάδα Πανεπιστημιακό Πιστοποιητικό ΤΕΧΝΗΤΗΣ ΝΟΗΜΟΣΥΝΗΣ για εκπαιδευτικούς
Πανεπιστήμιο Αιγαίου: Το κορυφαίο πρόγραμμα ειδικής αγωγής στην Ελλάδα - Αιτήσεις έως 14/9
Μοριοδοτούμενο σεμινάριο Ειδικής Αγωγής Πανεπιστημίου Πατρών με μόνο 60 ευρώ
Alfavita Newsroom