Ο ΕΟΔΥ ανακοίνωσε σήμερα Μεγάλο Σάββατο 23 Απριλίου 4.175 νέα κρούσματα κορονοϊού.
Η ανακοίνωση του ΕΟΔΥ
Τα νέα εργαστηριακά επιβεβαιωμένα κρούσματα της νόσου(άτομα) που καταγράφηκαν τις τελευταίες 24 ώρες ήταν 4.175. Ο συνολικός αριθμός των ατόμων που νόσησαν ανέρχεται σε 3.277.557 (ημερήσια μεταβολή +0.1%), εκ των οποίων 48.9% άνδρες.
Ο αριθμός πιθανών νέων επαναλοιμώξεων που καταγράφηκαν τις τελευταίες 24 ώρες ήταν 149 ενώ από την αρχή της πανδημίας SARS-CoV-2 ο συνολικός αριθμός εκτιμάται σε 121.135(3.6% του συνολικού αριθμού των θετικών αποτελεσμάτων).
Οι νέοι θάνατοι ασθενών με COVID-19 είναι 28, ενώ από την έναρξη της επιδημίας έχουν καταγραφεί συνολικά 28.867 θάνατοι. Το 95.5% είχε υποκείμενο νόσημα ή/και ηλικία 70 ετών και άνω.
Ο αριθμός των ασθενών που νοσηλεύονται διασωληνωμένοι είναι 277 (67.1% άνδρες). Η διάμεση ηλικία τους είναι 71 έτη. To 93.1% έχει υποκείμενο νόσημα ή/και ηλικία 70 ετών και άνω. Μεταξύ των ασθενών που νοσηλεύονται διασωληνωμένοι, 150 (54.15%) είναι ανεμβολίαστοι ή μερικώς εμβολιασμένοι και 127 (45.85%) είναι πλήρως εμβολιασμένοι. Από την αρχή της πανδημίας έχουν εξέλθει από τις ΜΕΘ 4.591 ασθενείς.
Οι εισαγωγές νέων ασθενών COVID-19 στα νοσοκομεία της επικράτειας είναι 197 (ημερήσια μεταβολή +3.68%). Ο μέσος όρος εισαγωγών του επταημέρου είναι 201 ασθενείς.Η διάμεση ηλικία των κρουσμάτων είναι 36 έτη (εύρος 0.2 έως 112 έτη), ενώ η διάμεση ηλικία των θανόντων είναι 79 έτη (εύρος 0.2 έως 106 έτη).
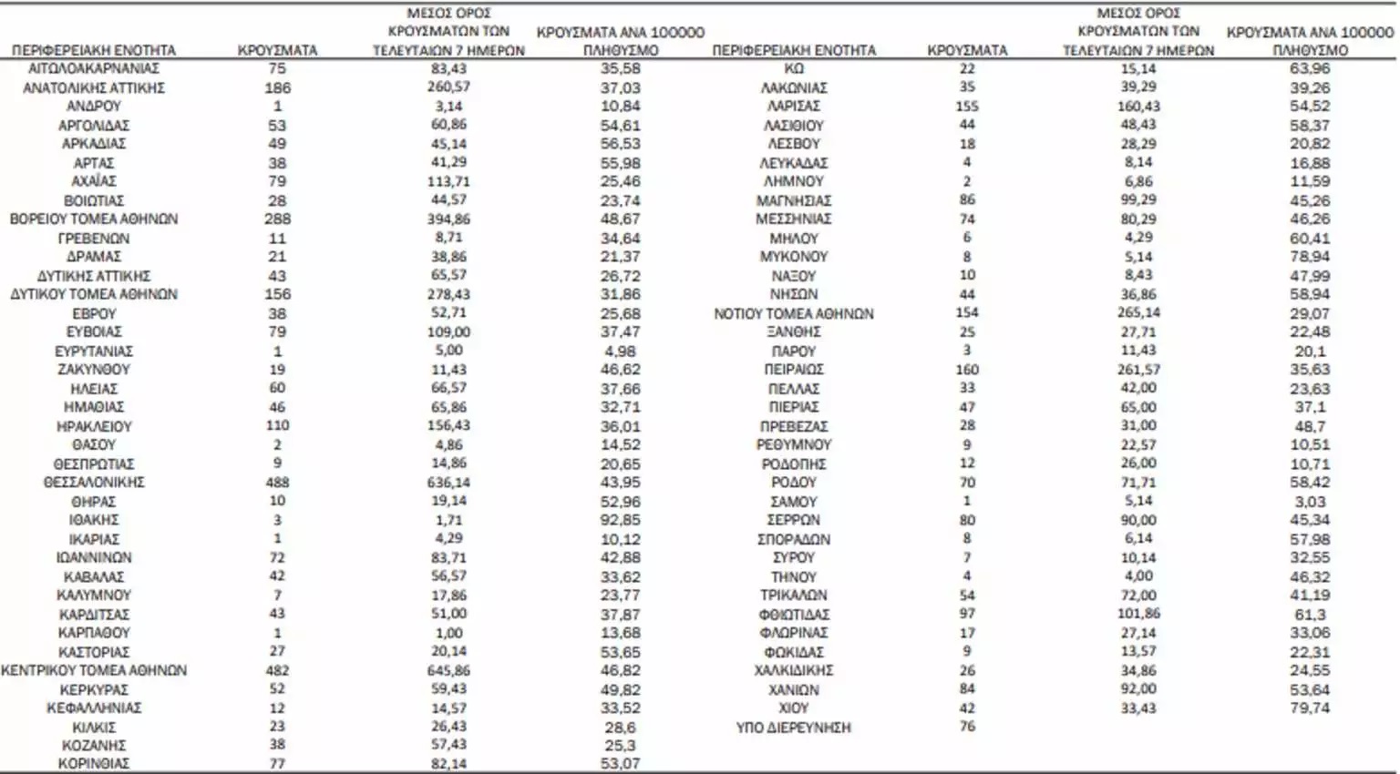
Ο χάρτης της διασποράς
Από τα στοιχεία αυτά προκύπτει πως από τα συνολικά 4.175 νέα κρούσματα (συν 149 επαναλοιμώξεις) κορονοϊού του τελευταίου 24ώρου, τα 1.513 εντοπίστηκαν στην Αττική, ενώ τα 488 στη Θεσσαλονίκη.

Όλες οι σημαντικές και έκτακτες ειδήσεις σήμερα
Νέο Προσκλητήριο Προσλήψεων Εκπαιδευτών Ενηλίκων: Αφορά όλα τα πτυχία ΑΕΙ-ΤΕΙ - Πιστοποιηθείτε άμεσα
Παν.Πατρών: Tο 1ο στην Ελλάδα Πανεπιστημιακό Πιστοποιητικό ΤΕΧΝΗΤΗΣ ΝΟΗΜΟΣΥΝΗΣ για εκπαιδευτικούς
Πανεπιστήμιο Αιγαίου: Το κορυφαίο πρόγραμμα ειδικής αγωγής στην Ελλάδα - Αιτήσεις έως 14/9
Μοριοδοτούμενο σεμινάριο Ειδικής Αγωγής Πανεπιστημίου Πατρών με μόνο 60 ευρώ
Alfavita Newsroom