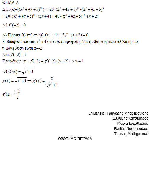
Πανελλήνιες 18.06.2020 - 10:04Πανελλαδικές 2020: Λύσεις για τα Μαθηματικά στα ΕΠΑΛ Alfavita Newsroom Facebook Twitter Linkedin E-mail Προτεινόμενες λύσεις στα Mαθηματικά για τις Πανελλαδικές 2020 στα ΕΠΑΛ από το Φροντιστήριο Ορόσημο Όλα τα νέα και οι ειδήσεις που αφορούν τις ΠανελλήνιεςΠανελλαδικές 2025: Νέα πανωλεθρία για τα επτά Τμήματα ΦυσικήςΜια πικρή «ιστορία» των Πανελληνίων εξετάσεων«Οικογενειακή» υπόθεση οι Πανελλαδικές 2025: Αδέρφια από τη Θεσσαλονίκη κατακτούν μαζί την Ιατρική του ΑΠΘ Ακολουθήστε το Alfavita στo Google News Ακολουθήστε το Alfavita στo Viber μαθηματικά ΕΠΑΛ ΟΡΟΣΗΜΟ πανελλαδικές εξετάσεις πανελλαδικές
01.12.2025 - 10:00 Ποια φάρμακα δεν πρέπει ποτέ να τα καταναλώνεις με καφέ Eίναι σημαντικό να γνωρίζετε ποια φάρμακα δεν πρέπει να συνδυάζονται με καφέ, ώστε να αποφύγετε κινδύνους και να εξασφαλίσετε την καλύτερη δυνατή... ΚΟΙΝΩΝΙΑ Ποια φάρμακα δεν πρέπει ποτέ να τα καταναλώνεις με καφέ
20.10.2025 - 00:01 «Κόβονται» οι απουσίες στη γιορτή της 28ης Οκτωβρίου – Τι ισχύει για τους μαθητές Το Υπουργείο Παιδείας ξεκαθαρίζει πως η παρουσία των μαθητών στις εορταστικές εκδηλώσεις είναι υποχρεωτική ΕΚΠΑΙΔΕΥΣΗ «Κόβονται» οι απουσίες στη γιορτή της 28ης Οκτωβρίου – Τι ισχύει για τους μαθητές
22.09.2025 - 00:20 Ζώα που αλλάζουν φύλο: Γιατί αποτελεί εξέλιξη προσαρμογής; Μπορεί να φαίνεται απίστευτο, αλλά περίπου το 5% των ζώων έχουν την ικανότητα να αλλάζουν φύλο κατά τη διάρκεια της ζωής τους. ΚΟΙΝΩΝΙΑ Ζώα που αλλάζουν φύλο: Γιατί αποτελεί εξέλιξη προσαρμογής;
22.09.2025 - 00:10 Πώς διαφέρουν τα δάκρυα μας ανάλογα με την ψυχική μας κατάσταση Μελέτες έδειξαν πως η σύστασή τους αλλάζει ανάλογα με το συναίσθημα που βιώνουμε. ΚΟΙΝΩΝΙΑ Πώς διαφέρουν τα δάκρυα μας ανάλογα με την ψυχική μας κατάσταση