Το θέμα Β ως γνωστόν αποτελείται από ερωτήσεις ανοικτού τύπου. Δηλαδή ερωτήσεις για τις οποίες οι απαντήσεις χρειάζονται αιτιολόγηση. Συνήθως υπάρχουν δύο με τρεις πιθανές απαντήσεις. Και προφανώς μόνο η μία είναι σωστή.
Ποιο είναι όμως το ενδιαφέρον από τη λύση αυτών των ερωτήσεων;
Πέρα από την εξάσκηση, τον έλεγχο γνώσης της θεωρίας, μαθαίνω να αποφεύγω τα όποια λάθη οδηγούν στην επιλογή όχι της σωστής αλλά κάποιας από τις λανθασμένες απαντήσεις.
Εύχομαι φέτος οι μαθητές να βρήκαν τις σωστές απαντήσεις και να απέρριψαν τις λανθασμένες. Καλά αποτελέσματα σε όλους τους μαθητές. Σε αυτούς που αγαπούν τη φυσική αλλά και σε αυτούς που αδίκως τη μισούν…
Ας δούμε λοιπόν δύο από τα τρία Β θέματα της φυσικής.
Β1.Το άκρο Ο γραμμικού, ομογενούς ελαστικού μέσου που εκτείνεται κατά την διεύθυνση του ημιάξονα Οx αρχίζει, τη χρονική στιγμή t=0, να ταλαντώνεται σύμφωνα με την εξίσωση y=Αημωt, και δημιουργεί εγκάρσιο αρμονικό κύμα.
Η γραφική παράσταση της φάσης της ταλάντωσης των σημείων του μέσου, τη χρονική στιγμή t1=2s, σε συνάρτηση με τη θέση x, φαίνεται στο διπλανό διάγραμμα.
Τη χρονική στιγμή t2=2,5s τα σημεία της χορδής που βρίσκονται σε ακραία θέση της τροχιάς τους είναι:
i.5ii. 4 iii.10

Αρχικά ας δούμε μια διαφορετική λύση, βασισμένη στη θεωρία.
Τη χρονική στιγμή t1=2s, η φάση της πηγής είναι ίση με 4π=2·2π rad. Δηλαδή η πηγή έχει εκτελέσει 2 ταλαντώσεις σε χρόνο 2Τ.
Επομένως t1=2Τ και Τ=1s.
Σε χρόνο μιας περιόδου Τ το κύμα διανύει απόσταση ενός μήκους κύματος λ. Σε χρόνο t1=2Τ διανύει απόσταση 2λ=4m και λ=2m.
Τώρα αν αντί για t2=2,5s σχεδιάσω το στιγμιότυπο τη χρονική t1=2s :

προκύπτουν 4 σημεία που βρίσκονται σε ακραία θέση της τροχιάς τους. Δηλαδή επιλέγω λανθασμένα ως σωστή απάντηση τη ii. 4 και όχι τη σωστή i.
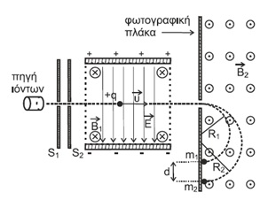
Β3. Στο φασματοσκόπιο μάζας (Bainbridge) του διπλανού σχήματος, λεπτή δέσμη ιόντων ενός χημικού στοιχείου, που αποτελείται από δύο ισότοπα, διέρχεται από φίλτρο ταχυτήτων, όπου συνυπάρχουν ομογενές μαγνητικό πεδίο έντασης Ε
και ομογενές μαγνητικό πεδίο έντασης Β1
με φορά από τον αναγνώστη προς την σελίδα, κάθετα μεταξύ τους.
Μερικά από τα ιόντα δεν εκτρέπονται και συνεχίζουν ανεπηρέαστα την πορεία τους και συνεχίζουν μέσα στο φίλτρο συχνοτήτων.

α) Το μέτρο της ταχύτητας των ιόντων που δεν εκτρέπονται είναι ίσο με

Στη συνέχεια τα ιόντα αυτά εισέρχονται σε περιοχή ομογενούς μαγνητικού πεδίου έντασης Β2
με φορά από την σελίδα προς τον αναγνώστη. Στο πεδίο αυτό διαγράφουν ημικυκλικές τροχιές και πέφτουν σε φωτογραφική πλάκα, αφήνοντας σε αυτή δύο ίχνη που απέχουν μεταξύ τους απόσταση d.
β) Η διαφορά μάζας των ισοτόπων του στοιχείου που αποτελούν τη δέσμη είναι ίση με

Αν αφαιρέσω τις ακτίνες και όχι τις διαμέτρους τότε d=R2-R1

Έχοντας αποδείξει στο ερώτημα (α) ότι u=E/B1, αποδεικνύω και επιλέγω λανθασμένα ως σωστή απάντηση τη iii. Δm=dB1B2qE
και όχι τη σωστή i. Δm=dB1B2q2E
.
Υπάρχει βέβαια και η περίπτωση να αφαιρέσω τις διαμέτρους και στο συνδυασμότων τριών σχέσεων να αποδείξω λανθασμέναως σωστή απάντηση τη ii. Δm=2dB1B2qE
.
Όλα τα νέα και οι ειδήσεις που αφορούν τις Πανελλήνιες
Πανελλαδικές 2025: Νέα πανωλεθρία για τα επτά Τμήματα Φυσικής