1. Τσεχερίδη Σταύρου
τ. Σχολικού Συμβούλου, Phd Διδακτικής των Φυσικών Επιστημών, Μsc Ηλεκτρονικής και Ραδιοηλεκτρολογίας, Med Νέες τεχνολογίες στη Διδακτική των Φυσικών Επιστημών
2.Μπελιώκα Αδάμου
τ. Διευθυντή σχολικής μονάδος, Phd Διδακτικής των Φυσικών Επιστημών, Med Νέες τεχνολογίες στη Διδακτική των Φυσικών Επιστημών
Το θέμα αφορά το φωτοηλεκτρικό φαινόμενο. Το φαινόμενο αυτό αναφέρεται στην απόσπαση ηλεκτρονίων (φωτοηλεκτρονίων) από μία μεταλλική επιφάνεια, όταν σε αυτήν πέσει φωτεινή ακτινοβολία η οποία έχει την κατάλληλη συχνότητα. Ο ορισμός του φαινομένου όπως είναι διατυπωμένος στο σχολικό εγχειρίδιο:
«Το φωτοηλεκτρικό φαινόμενο είναι το φαινόμενο κατά το οποίο μια μεταλλική επιφάνεια απελευθερώνει ηλεκτρόνια στο περιβάλλον όταν πάνω της προσπίπτει φως»
Ένα ηλεκτρόνιο για να εξέλθει του μετάλλου χρειάζεται να προσλάβει ένα ελάχιστο ποσό ενέργειας, ώστε να υπερνικήσει τις δυνάμεις που το συγκρατούν μέσα στο μέταλλο. Η ελάχιστη αυτή ενέργεια ονομάζεται έργο εξαγωγής και συμβολίζεται με φ.
Το φαινόμενο αυτό ερμηνεύτηκε από τον Einstein, ο οποίος επεκτείνοντας τις απόψεις του Planck, υπέθεσε ότι το φως αποτελείται από μικρά πακέτα ενέργειας, τα οποία ονόμασε κβάντα φωτός ή φωτόνια. Η ενέργεια του κάθε φωτονίου είναι: Ε = hf.
Κατά τον Einstein κάθε φωτόνιο της φωτεινής δέσμης που φωτίζει την μεταλλική επιφάνεια, μεταδίδει όλη την ενέργεια του hf σε ένα μόνο από τα ηλεκτρόνια του μετάλλου. Αν η ενέργεια hf του φωτονίου είναι μικρότερη από το έργο εξαγωγής φ, του ηλεκτρονίου από την μεταλλική επιφάνεια, τότε το ηλεκτρόνιο δεν μπορεί να εγκαταλείψει το μέταλλο. Αν ‘όμως η ενέργεια του φωτονίου είναι μεγαλύτερη ή ίση με το έργο εξαγωγής φ του ηλεκτρονίου από την μεταλλική επιφάνεια, τότε το ηλεκτρόνιο εγκαταλείπει την μεταλλική επιφάνεια με κινητική ενέργεια που υπολογίζεται από την σχέση: Κ= hf – φ. «Φωτοηλεκτρική εξίσωση του Einstein»
Σύμφωνα με τις οδηγίες διδασκαλίας που έχουν δοθεί, σε κάθε μέταλλο τα ηλεκτρόνια του δεν έχουν την ίδια ενέργεια, διότι βρίσκονται σε διαφορετικές ενεργειακές καταστάσεις οι οποίες εξαρτώνται από την θέση τους καθώς και από άλλες παραμέτρους. Επομένως το έργο εξαγωγής φ θα έχει διαφορετικές τιμές για τα διάφορα ηλεκτρόνια του ίδιου μετάλλου. Όταν αναφερόμαστε στο έργο εξαγωγής, ουσιαστικά αναφερόμαστε στην ελάχιστη ενέργεια που πρέπει να πάρουν τα ηλεκτρόνια που βρίσκονται στην υψηλότερη ενεργειακή στάθμη για να εξαχθούν από το μέταλλο. Επομένως αυτά θα έχουν και την μεγαλύτερη κινητική ενέργεια. Η μέγιστη λοιπόν κινητική ενέργεια του φωτοηλεκτρονίου θα είναι: Kmax = hf -j.
Η δομή του δεύτερου θέματος όπως αυτή διατυπώνεται στα ακόλουθα ΦΕΚ τόσο για το λύκειο όσο και για τις πανελλαδικές εξετάσεις για το μάθημα φυσικής είναι:
Α. για το λύκειο: ΕΦΗΜΕΡΙ∆Α ΤΗΣ ΚΥΒΕΡΝΗΣΕΩΣ ΤΗΣ ΕΛΛΗΝΙΚΗΣ ∆ΗΜΟΚΡΑΤΙΑΣ 5 Σεπτεμβρίου 2022 ΤΕΥΧΟΣ ΔΕΥΤΕΡΟ Αρ. Φύλλου 4678
Το δεύτερο θέμα αποτελείται από δύο (2) ερωτήσεις, με τις οποίες ελέγχεται η κατανόηση της θεωρίας και οι ικανότητες και δεξιότητες που απέκτησαν οι μαθητές/- ήτριες κατά την εκτέλεση των εργαστηριακών ασκήσεων ή άλλων πειραματικών δραστηριοτήτων που έγιναν στο πλαίσιο του μαθήματος. Με τις ερωτήσεις μπορεί να ζητηθεί από τους/τις μαθητές/-ήτριες να αναπτύξουν την απάντησή τους ή να απαντήσουν σε ένα ερώτημα κλειστού τύπου και να αιτιολογήσουν την απάντησή τους.
Β. για τις πανελλαδικές εξετάσεις: ΕΦΗΜΕΡΙ∆Α ΤΗΣ ΚΥΒΕΡΝΗΣΕΩΣ ΤΗΣ ΕΛΛΗΝΙΚΗΣ ∆ΗΜΟΚΡΑΤΙΑΣ 3 Οκτωβρίου 2022 ΤΕΥΧΟΣ ΔΕΥΤΕΡΟ Αρ. Φύλλου 5136
Το δεύτερο θέμα αποτελείται από ερωτήσεις, με τις οποίες ελέγχεται η κατανόηση της θεωρίας, η κριτική ικανότητα των υποψηφίων, καθώς και οι νοητικές δεξιότητες που απέκτησαν κατά την εκτέλεση των εργαστηριακών ασκήσεων ή άλλων πειραματικών δραστηριοτήτων που έγιναν στο πλαίσιο του μαθήματος
Το Β2 θέμα του πανελλαδικώς εξεταζόμενου μαθήματος φυσικής όπως έχει δοθεί στις πανελλαδικές εξετάσεις του έτους 2024-2025 του μαθήματος της φυσικής είναι:


Προφανώς το θέμα αυτό είναι κλειστού τύπου στο οποίο ζητάνε από τους μαθητές να απαντήσουν σε ένα ερώτημα και να αιτιολογήσουν την απάντηση τους.
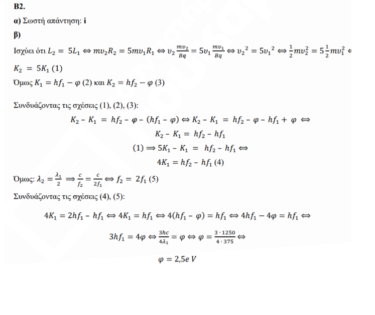
Σε αυτό το θέμα δίνονται τρεις μεταλλικές επιφάνειες, το βάριο με έργο εξαγωγής 2,5ev, το βολφράμιο με έργο εξαγωγής 4,5 ev, και το ταντάλιο με έργο εξαγωγής 4,2 ev.
Σύμφωνα με το πρώτο πείραμα ένα φωτόνιο με μήκος κύματος λ = 375nm πέφτει σε μια από τις αναφερόμενες μεταλλικές επιφάνειες και εξάγει φωτοηλεκτρόνια. Στη συνέχεια μας δίνει δεδομένα από ένα δεύτερο πείραμα και ζητάει από τους μαθητες/τριες, να προσδιορίσουν την επιφάνεια από την οποία εξήλθαν τα φωτοηλεκτρόνια.
Προσέχοντας το θέμα παρατηρούμε ότι η ενέργεια του φωτονίου που έχει πέσει στην μεταλλική επιφάνεια είναι: Ε= hf = hc/λ= 1250/375=3,33ev. Σύμφωνα με όσα έχουμε αναφέρει για το φωτοηλεκτρικό φαινόμενο η ενέργεια του φωτονίου 3,33ev είναι μεγαλύτερη μόνο από το έργο εξαγωγής του βαρίου 2,5ev. Επομένως είναι προφανές ότι θα εξέλθουν φωτοηλεκτρόνια μόνο αν πέσει πάνω σε αυτήν την επιφάνεια. Από τις δύο άλλες βολφράμιο και ταντάλιο, δεν θα μπορέσει να εξάγει ηλεκτρόνια αφού η ενέργεια του είναι μικρότερη από τα έργα εξαγωγής των ηλεκτρονίων από αυτές τις επιφάνειες.
Τίθεται εύλογα το ερώτημα: τι εξυπηρετούν τα δεδομένα του δευτέρου πειράματος, όπως και η περιττή αναφορά της κίνησης των ηλεκτρονίων μέσα στο ομογενές μαγνητικό πεδίο του πρώτου πειράματος, στην τόσο προφανή απάντηση του θέματος; Ας μας εξηγήσουν οι θεματοδότες ποια χρησιμότητα έχουν αυτά τα δεδομένα στην προφανή απάντηση του προβλήματος ή μήπως δεν έχουν αντιληφθεί ότι η απάντηση ήταν τόσο προφανής με επακόλουθο να κάνουν ένα πλήθος αχρείαστων διαδικασιών για την εύρεση της απάντησης;
Όπως τίθεται το ερώτημα: πώς βαθμολογήθηκε το γραπτό από έναν μαθητή/τρια, στο οποίο δόθηκε η προφανής αιτιολογημένη απάντηση χωρίς την χρήση των περιττών δεδομένων του δευτέρου πειράματος;
Είναι η δεύτερη φορά που δίνονται περισσότερα δεδομένα από αυτά που απαιτούνται για την λύση ενός θέματος. Αυτό συνέβη πριν 3 χρόνια πάλι στο μάθημα της φυσικής, στο Β3 θέμα, κάτι που το είχαμε επισημάνει με ένα άρθρο μας (Η διδακτική αξιοποίηση του προβλήματος στο μάθημα της φυσικής 14-7-2021) στο εκπαιδευτικό site της alfavita.
Στο φαινόμενο αυτό, δηλαδή να δίνονται περιττά δεδομένα για την λύση ενός προβλήματος και να μην γίνεται αντιληπτό αυτό, συμβάλλει το γεγονός ότι στην αξιολόγηση των γραπτών δεν αξιολογείται η αιτιολόγηση των διαδικασιών που γίνονται στην απάντηση του κάθε θέματος. Εάν αιτιολογούσαμε για παράδειγμα, για ποιο λόγο πραγματοποιούμε όλες τις διαδικασίες που προέρχονται από τα δεδομένα του δεύτερου πειράματος, θα γινότανε αντιληπτό ότι δεν χρειάζονται για την απάντηση του θέματος. Αν δούμε τις απαντήσεις που έχουν δοθεί για το Β2 θέμα με την χρήση των περιττών δεδομένων του δεύτερου πειράματος, οι οποίες είναι 10 στο πλήθος, στην ηλεκτρονική διεύθυνση https://www.panellinies.net/fusiki-2024/ θα δούμε ότι απουσιάζει παντελώς η αιτιολόγηση των διαδικασιών που γίνονται, έστω καταχρηστικά για την απάντηση του θέματος. Ενδεικτικά παρουσιάζουμε μία από αυτές διότι και όλες οι άλλες έχουν την ανάλογη ανάπτυξη, δηλαδή στείρα παρουσίαση μαθηματικών εξισώσεων, χωρίς καμία αιτιολόγηση της χρήσης των.

Ελπίζουμε στο μέλλον οι θεματοδότες να είναι περισσότερο προσεκτικοί στην επιλογή και διατύπωση των θεμάτων που τίθενται, όπως ελπίζουμε να επιλέγονται με μεγαλύτερη προσοχή, για να μην επαναλαμβάνονται ανάλογα θέματα. Ελπίζουμε επίσης να αλλάξει ο τρόπος αξιολόγησης των γραπτών, δίνοντας μεγάλη εκτίμηση στην αιτιολόγηση των διαδικασιών που κάνουμε για την λύση ενός προβλήματος και όχι στην στείρα παρουσίαση μαθηματικών εξισώσεων. .
Όλα τα νέα και οι ειδήσεις που αφορούν τις Πανελλήνιες
Πανελλαδικές 2025: Νέα πανωλεθρία για τα επτά Τμήματα Φυσικής