Γονείς μαθητών που συμμετείχαν στις Πανελλαδικές Εξετάσεις του 2025 εκφράζουν έντονη ανησυχία και διαμαρτυρία σχετικά με τον τρόπο αξιολόγησης του θέματος Γ1 στη Χημεία Προσανατολισμού, χαρακτηρίζοντας το σχήμα επιστημονικά ασαφές και αμφίσημο.
Παρά τις επιστημονικά τεκμηριωμένες και σωστές απαντήσεις πολλών υποψηφίων –μεταξύ αυτών και των παιδιών τους– το γεγονός ότι η Κεντρική Επιτροπή Εξετάσεων δεν έχει εκδώσει σαφείς οδηγίες οδηγεί στην άδικη βαθμολόγηση και στην πιθανή απώλεια μονάδων.
Οι γονείς ζητούν άμεση παρέμβαση της Υπουργού Παιδείας, Σοφίας Ζαχαράκη, ώστε να αναγνωριστεί η ορθότητα των απαντήσεων με βάση την εύλογη επιστημονική ερμηνεία και να διασφαλιστεί η εγκυρότητα των εξετάσεων και η ισότητα στην αξιολόγηση όλων των μαθητών.
Ακολουθεί η επιστολή των γονέων πρός την Υπουργό Παιδείας:
Αξιότιμη κ. Υπουργέ
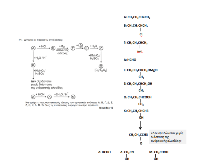
Με τις επιστολές μας με αρ. Πρωτ. 67084/6-6-2025 και 67910/10-6-2025 εκφράσαμε την έντονη ανησυχία μας και τη διαμαρτυρία μας για την επιστημονική ανακρίβεια και την αμφισημία του σχήματος του θέματος Γ1 της Χημείας στις φετινές Πανελλαδικές εξετάσεις, αφού πολλοί μαθητές υψηλών επιδόσεων – και μεταξύ αυτών και τα παιδιά μας – παρόλο που έδωσαν τεκμηριωμένους και αδιαμφισβήτητα σωστούς συντακτικούς τύπους για το σύνολο των 10 ζητούμενων ενώσεων (Α-Μ) του σχήματος, με βάση την εύλογη ερμηνεία ότι η επίμαχη φράση χωρίς υποκείμενο «δεν οξειδώνεται χωρίς διάσπαση της ανθρακικής αλυσίδας» αναφερόταν στο προϊόν της ένωσης Κ (αφού αλλιώς δεν υπήρχε κανένας επιστημονικά ορθός λόγος να υπάρχει εκεί η φράση αυτή!), δεν αξιολογούνται δίκαια και θα χάσουν το σύνολο των βαθμολογικών μονάδων του θέματος, αφού η Κεντρική Επιτροπή Εξετάσεων (ΚΕΕ) Χημείας δεν έχει δώσει σαφείς οδηγίες ώστε να γίνει αποδεκτή η λύση αυτή.
Αξιότιμη κ. Υπουργέ
Με τις προαναφερόμενες επιστολές ζητήσαμε:
(α) να αξιολογηθεί επίσημα το Σχήμα του Θέματος Γ1 και η σωστή ερμηνεία της χωρίς υποκείμενο επίμαχης φράσης «δεν οξειδώνεται χωρίς διάσπαση της ανθρακικής αλυσίδας» υπό το φως της επιστημονικής ακρίβειας και της αυστηρής ορθότητας όπως αρμόζει σε θέματα Πανελλαδικών εξετάσεων και
(β) να υπάρξει σαφής δημοσιοποιημένη οδηγία από την ΚΕΕ ώστε να γίνει αποδεκτή – (όπως επισημαίνεται στις οδηγίες προς εξεταζομένους: «κάθε απάντηση επιστημονικά τεκμηριωμένη είναι αποδεκτή») – η επιστημονικά τεκμηριωμένη απάντηση όσων υποψηφίων – και μεταξύ αυτών και τα παιδιά μας – έδωσαν σωστούς συντακτικούς τύπους για τις 10 ζητούμενες ενώσεις (Α-Μ) του σχήματος με βάση την εύλογη ερμηνεία ότι η επίμαχη φράση χωρίς υποκείμενο «δεν οξειδώνεται χωρίς διάσπαση της ανθρακικής αλυσίδας» αναφερόταν στο προϊόν της ένωσης Κ, ώστε να μην χάσουν καμία μονάδα βαθμολογίας.
Γιατί:
(β1) το σχήμα του θέματος Γ1 δεν παρουσιάζεται με ορθό επιστημονικά τρόπο και την εγκυρότητα που αρμόζει στις Πανελλαδικές εξετάσεις (η Ένωση Ελλήνων Χημικών σε δημόσια δήλωσή της αναγνώρισε πως: «Σε ορισμένα σημεία θα έπρεπε να είχε προσεχθεί καλύτερα η επιστημονική διατύπωση»),
(β2) είναι αδιαμφισβήτητα αμφίσημο και
(β3) γιατί οι απαντήσεις των μαθητών – και μεταξύ αυτών και των παιδιών μας – είναι απόλυτα σωστές.

Εικόνα 1. Σωστή λύση του θέματος Γ1 με την εύλογη ερμηνεία του Σχήματος 1, ότι δηλαδή η φράση «δεν οξειδώνεται χωρίς διάσπαση της ανθρακικής αλυσίδας» αφορούσε το προϊόν της αντίδρασης.
Επειδή μέχρι τώρα δεν είχαμε καμία απάντηση στο αίτημά μας και η αξιολόγηση των γραπτών συνεχίζεται χωρίς επίσημη αξιολόγηση του θέματος και οδηγίες από την ΚΕΕ Χημείας για την αναγνώριση της σωστής απάντησης πληθώρας μαθητών με βάση την εύλογη ερμηνεία ότι η επίμαχη φράση χωρίς υποκείμενο αναφερόταν στο προϊόν της ένωσης Κ (όπως ήδη έχουν κάνει η ΚΕΕ Βιολογίας και η ΚΕΕ Μαθηματικών, οι οποίες αναγνώρισαν και δεύτερες λύσεις), παρακαλούμε για τις άμεσες ενέργειές σας ώστε να μην βαθμολογηθεί μία λανθασμένη ερώτηση, να μην αδικηθούν τα παιδιά μας χάνοντας την είσοδό τους στις Σχολές και στον τόπο προτίμησής τους, αλλά και για να προστατευθεί το κύρος και η εγκυρότητα των Πανελλαδικών Εξετάσεων.
Με εκτίμηση,
Γονείς υποψήφιων μαθητών ΓΕΛ
Όλα τα νέα και οι ειδήσεις που αφορούν τις Πανελλήνιες
Πανελλαδικές 2025: Νέα πανωλεθρία για τα επτά Τμήματα Φυσικής
Alfavita Newsroom