




Σχολικός Σύμβουλος Μαθηματικών Ν. Δωδεκανήσου
Γιάννης Καραγιάννης
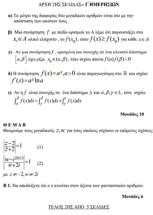
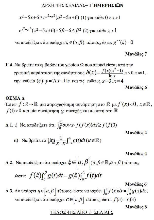
Δείτε εδώ τις λύσεις των θεμάτων
Όλα τα νέα και οι ειδήσεις που αφορούν τις Πανελλήνιες
Πανελλαδικές 2025: Νέα πανωλεθρία για τα επτά Τμήματα Φυσικής





Σχολικός Σύμβουλος Μαθηματικών Ν. Δωδεκανήσου
Γιάννης Καραγιάννης
Δείτε εδώ τις λύσεις των θεμάτων
Πανελλαδικές 2025: Νέα πανωλεθρία για τα επτά Τμήματα Φυσικής